Open Access
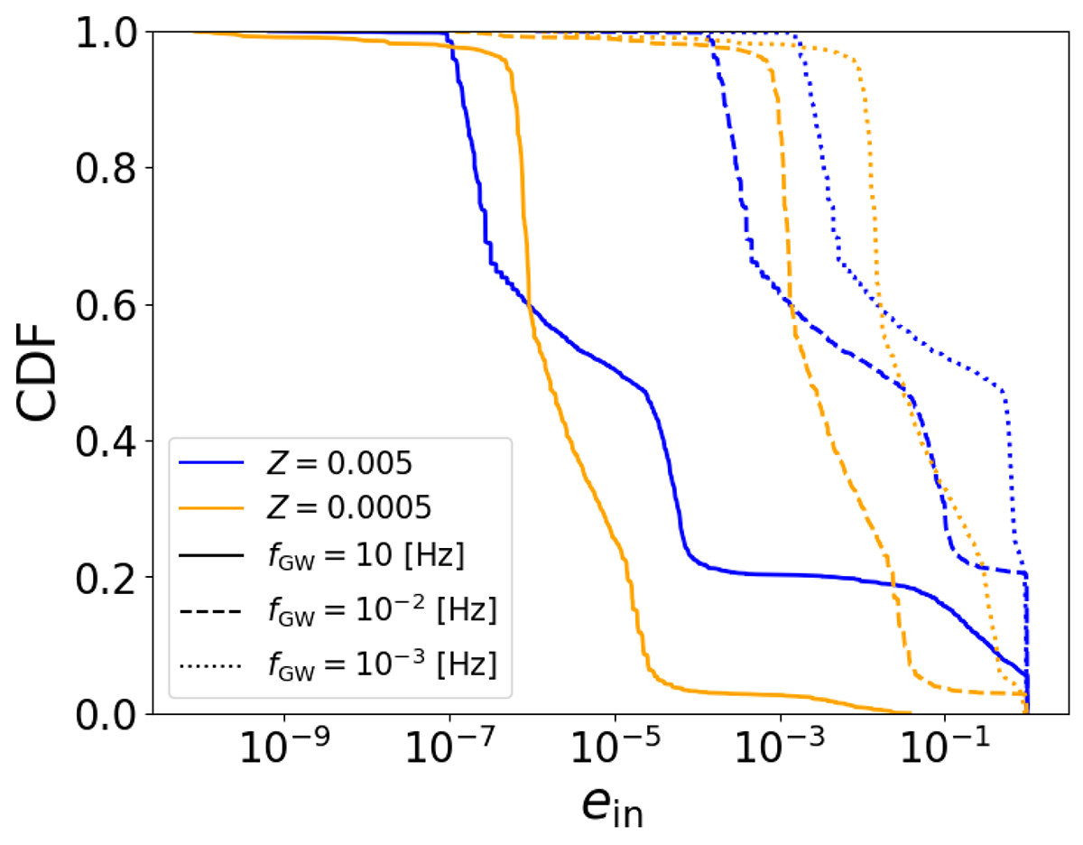
Fig. 8.

Download original image
Cumulative eccentricity distribution for the GW mergers of Model Advanced with ρg = 10−8 g cm−3 and ṁ3 = ṁnuc when entering the aLIGO frequency band (solid lines) and in the frequency range at which LISA will be most sensitive (dashed and dotted lines).
Current usage metrics show cumulative count of Article Views (full-text article views including HTML views, PDF and ePub downloads, according to the available data) and Abstracts Views on Vision4Press platform.
Data correspond to usage on the plateform after 2015. The current usage metrics is available 48-96 hours after online publication and is updated daily on week days.
Initial download of the metrics may take a while.