Open Access

Fig. 11

image

Download original image

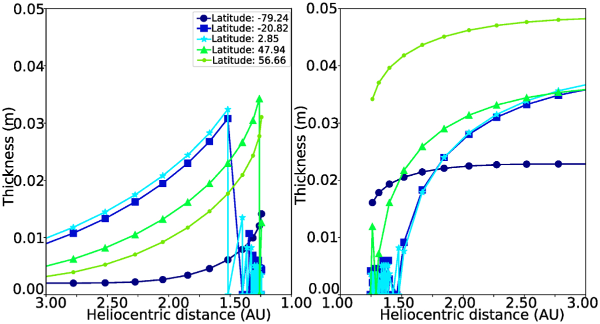
Variation in the thickness under the dust layer removal model is presented as a function of heliocentric distance for a comet with a spherical shape. Facets situated at different latitudes are examined, as legend shows. This permits the identification of latitudes where the dust layer has been removed.

Current usage metrics show cumulative count of Article Views (full-text article views including HTML views, PDF and ePub downloads, according to the available data) and Abstracts Views on Vision4Press platform.

Data correspond to usage on the plateform after 2015. The current usage metrics is available 48-96 hours after online publication and is updated daily on week days.

Initial download of the metrics may take a while.