Open Access

Fig. C.2

image

Download original image

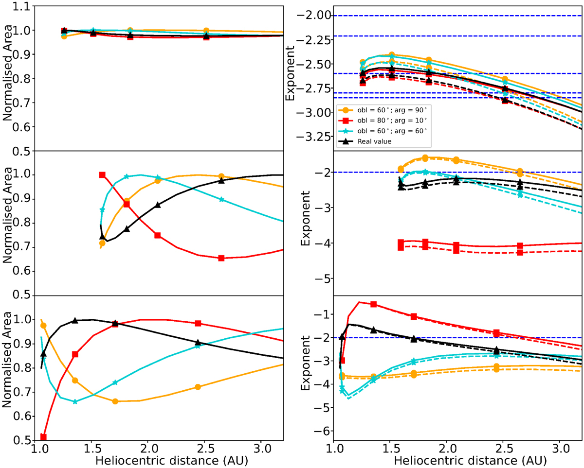
Same as Fig. 3 but for postperihelion. The left column shows the variation in the illuminated cross-section area, while the right column presents the corresponding exponent as a function of heliocentric distance. Solid and dotted lines represent Model A and Model B results, respectively, for a dust layer thickness of 0.184 mm composed of submillimeter particles.

Current usage metrics show cumulative count of Article Views (full-text article views including HTML views, PDF and ePub downloads, according to the available data) and Abstracts Views on Vision4Press platform.

Data correspond to usage on the plateform after 2015. The current usage metrics is available 48-96 hours after online publication and is updated daily on week days.

Initial download of the metrics may take a while.