Open Access

Fig. 7.

image

Download original image

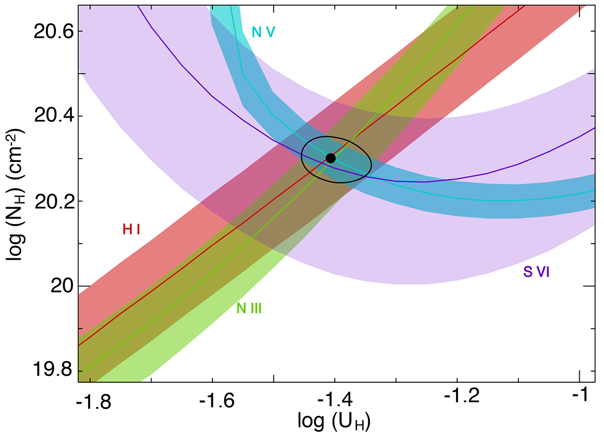
Photoionization solution for the outflow in 3C298, assuming the HE0238 SED and solar abundance for all elements, except for nitrogen and sulfur. The abundances of nitrogen and sulfur are set to be 60% of their solar value with respect to hydrogen.

Current usage metrics show cumulative count of Article Views (full-text article views including HTML views, PDF and ePub downloads, according to the available data) and Abstracts Views on Vision4Press platform.

Data correspond to usage on the plateform after 2015. The current usage metrics is available 48-96 hours after online publication and is updated daily on week days.

Initial download of the metrics may take a while.