Open Access

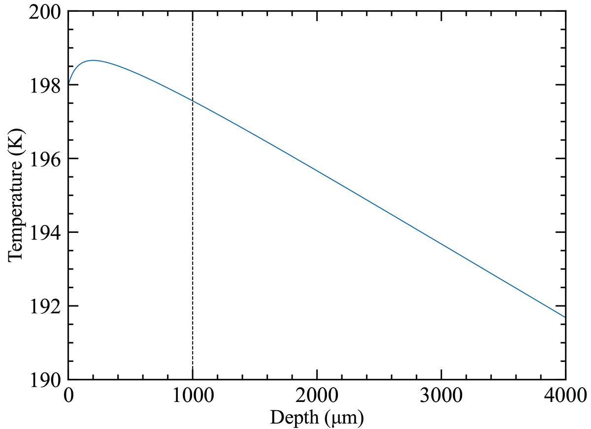
Fig. 9.

image

Download original image

Temperature profile of the thermal simulations of the granular water ice with a VFF of 30% in the blue line. The dashed black line denotes the depth of the z-direction simulation boundary for the geometrical model in Sect. 5.

Current usage metrics show cumulative count of Article Views (full-text article views including HTML views, PDF and ePub downloads, according to the available data) and Abstracts Views on Vision4Press platform.

Data correspond to usage on the plateform after 2015. The current usage metrics is available 48-96 hours after online publication and is updated daily on week days.

Initial download of the metrics may take a while.