Open Access

Fig. B.1.

image

Download original image

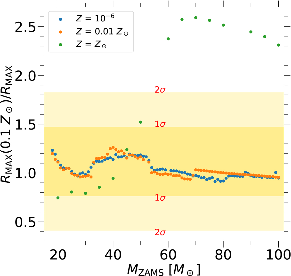
Maximum radius RMAX ratios as a function of ZAMS mass MZAMS between the reference metallicity Z = 0.1 Z and the other adopted metallicities according to our MESA simulations. We show the RMAX(0.1 Z/RMAX mean value at ∼1.1 and its Gaussian distribution up to 2σ. The variability of all the low-Z models with respect to 0.1 Z sits within 1σ, while it gets significantly beyond 2σ at Z for MZAMS≳ 60 M due to the increasingly large effect of wind mass loss and the treatment of superadiabaticity.

Current usage metrics show cumulative count of Article Views (full-text article views including HTML views, PDF and ePub downloads, according to the available data) and Abstracts Views on Vision4Press platform.

Data correspond to usage on the plateform after 2015. The current usage metrics is available 48-96 hours after online publication and is updated daily on week days.

Initial download of the metrics may take a while.