Open Access

Fig. 6.

image

Download original image

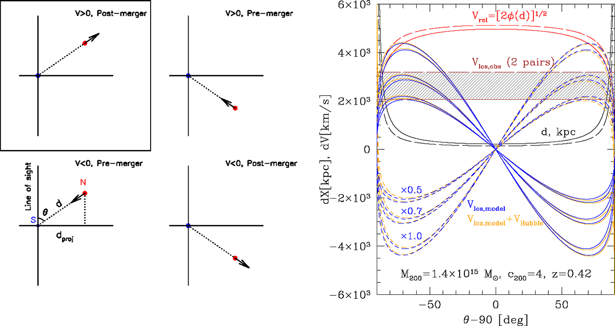
Constraints on the merger angle θ relative to the l.o.s. assuming a head-on collision of two subhalos. Left: Four possible configurations with the same angle θ and projected distance dproj between subhalos. Only one of these configurations (marked with a box) fits the scenario discussed here. Namely, (i) the northern subhalo recedes from us with a higher velocity than the southern one and (ii) this is a post-merger phase. Right: Expected and observed velocity differences for two pairs of galaxies that are considered as proxies for the subhalo positions and velocities. These two pairs have ΔV and dproj of 2060 km s−1 & 220 kpc and 3200 km s−1 & 142 kpc, respectively. The black and red curves (solid and dashed) show for each pair the 3D distance between the galaxies (d = dproj/sin θ) and the corresponding value of Vrel(d) (as given by Eq. (3)). The three close pairs of blue curves show the expected l.o.s. velocity differences f × (2Φ(d))1/2cos θ, where f is the suppression factor discussed in the text. The curves are shown for f = 1, 0.7, 0.5, where 0.7 is the fiducial value. The almost symmetric butterfly pattern of the blue curves reflects the different geometries shown in the left panel. Only the top left part of the plot corresponds to the merger scenario discussed here. The thin gold lines show the changes in these curves due to the Hubble expansion, which might be important only in the unlikely case of a merger axis that is almost perfectly aligned with the line of sight. The two horizontal brown lines (solid and dashed) show the observed l.o.s. velocity difference for each pair.

Current usage metrics show cumulative count of Article Views (full-text article views including HTML views, PDF and ePub downloads, according to the available data) and Abstracts Views on Vision4Press platform.

Data correspond to usage on the plateform after 2015. The current usage metrics is available 48-96 hours after online publication and is updated daily on week days.

Initial download of the metrics may take a while.