Open Access

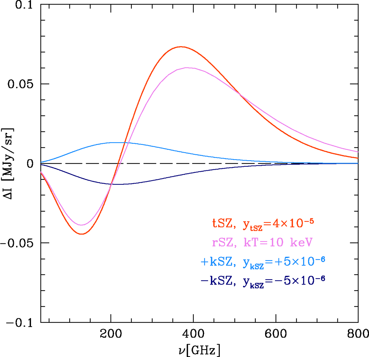
Fig. 8.

image

Download original image

Expected SZ signals for the line of sight going through the cluster center. For tSZ (red curve), τT = 1.9 × 10−3 and kT = 10 keV were assumed. The kSZ signal (two blue curves) corresponds to a velocity of ±1500 km s−1 and the same τT as for the tSZ. For completeness, the magenta line shows the tSZ signal with relativistic corrections for 10 keV electrons.

Current usage metrics show cumulative count of Article Views (full-text article views including HTML views, PDF and ePub downloads, according to the available data) and Abstracts Views on Vision4Press platform.

Data correspond to usage on the plateform after 2015. The current usage metrics is available 48-96 hours after online publication and is updated daily on week days.

Initial download of the metrics may take a while.