Open Access
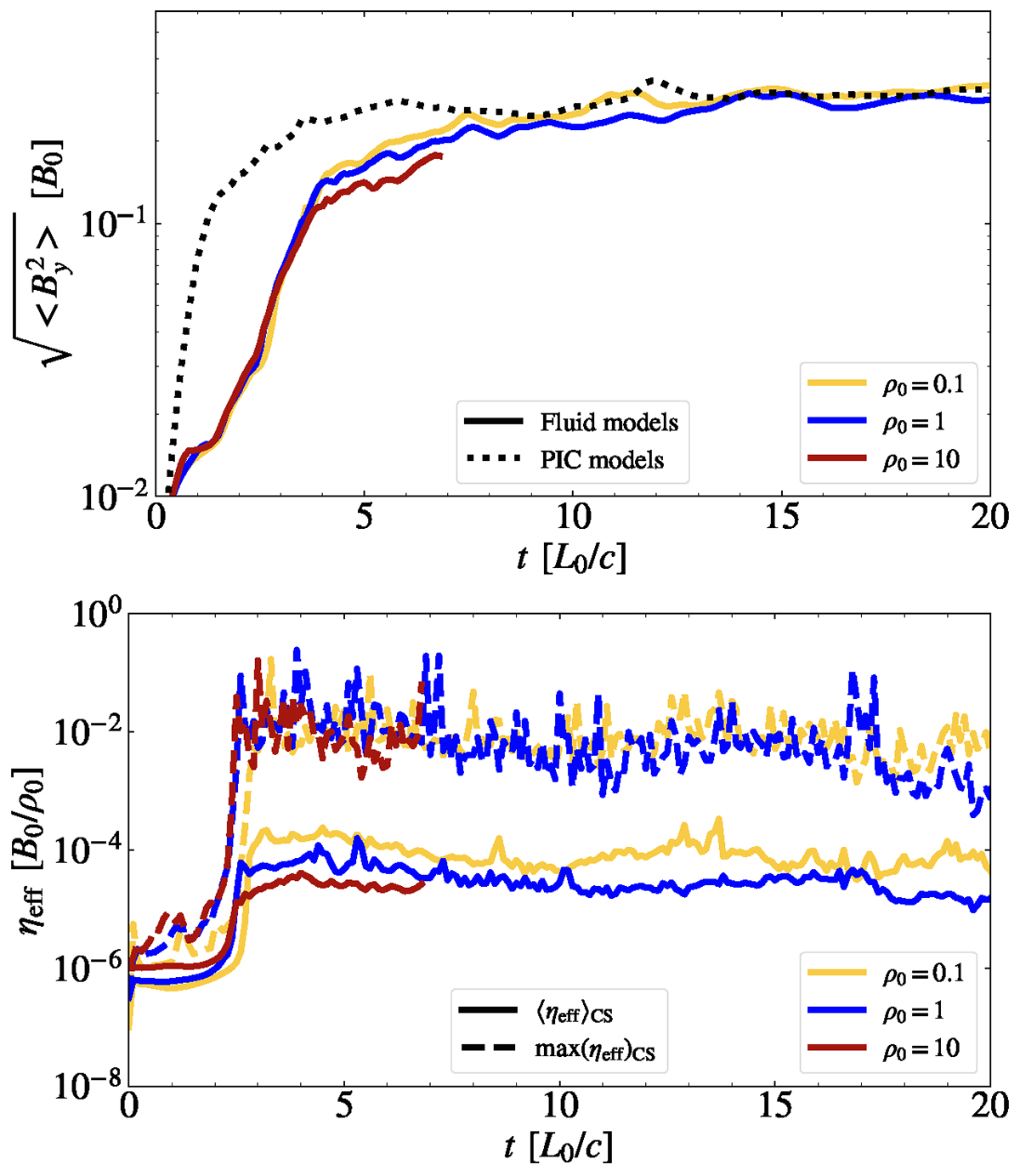
Fig. 10.

Download original image
RMS value of the transverse component of the magnetic field (top) and values of the resistivity (bottom) over time for models s10eEr10, s10eEr1, and s10eEr01. The maximum and average values of the resistivity are calculated over a rectangular box of sizes Lx × 2a centered on y = 0.
Current usage metrics show cumulative count of Article Views (full-text article views including HTML views, PDF and ePub downloads, according to the available data) and Abstracts Views on Vision4Press platform.
Data correspond to usage on the plateform after 2015. The current usage metrics is available 48-96 hours after online publication and is updated daily on week days.
Initial download of the metrics may take a while.