Open Access

Fig. 6.

image

Download original image

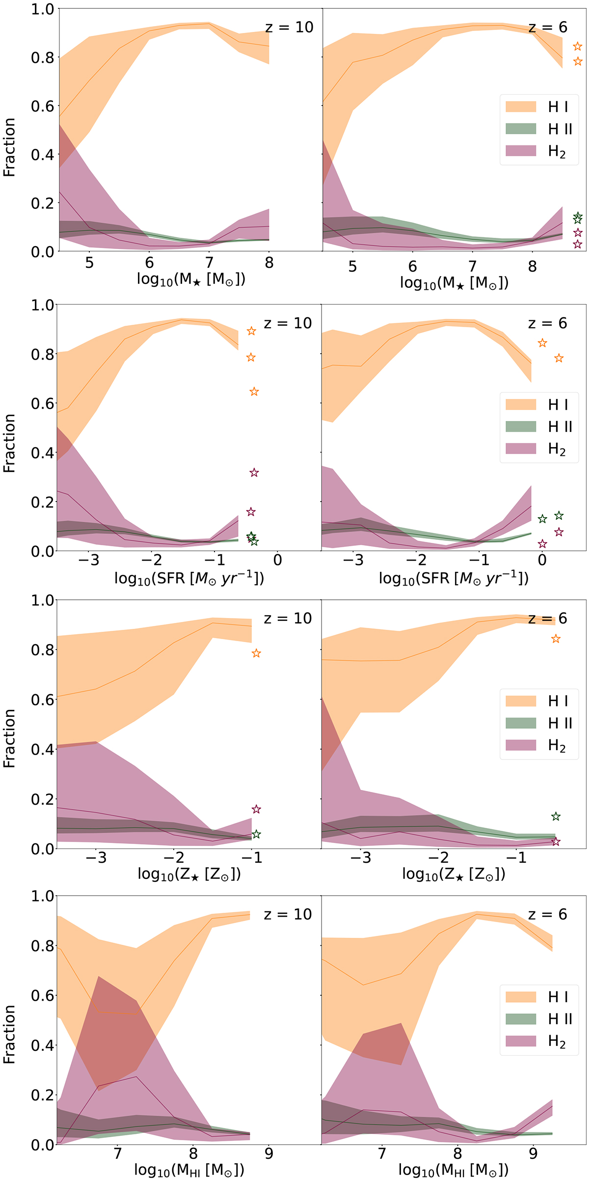
Fractional phase contribution to [C II] luminosity as a function of galactic properties. From top to bottom: Contribution to L[C II] from H I (orange), H2 (dark pink), and H II (green) as a function of stellar mass, star formation rate, stellar metallicity, and H I mass at z = 10 (left panels) and 6 (right). The solid line displays the median values, and the shaded areas show the 1σ scatter. The stars represent the contribution from the three phases in bins with fewer than three galaxies. The [C II] emission mostly traces neutral atomic gas.

Current usage metrics show cumulative count of Article Views (full-text article views including HTML views, PDF and ePub downloads, according to the available data) and Abstracts Views on Vision4Press platform.

Data correspond to usage on the plateform after 2015. The current usage metrics is available 48-96 hours after online publication and is updated daily on week days.

Initial download of the metrics may take a while.