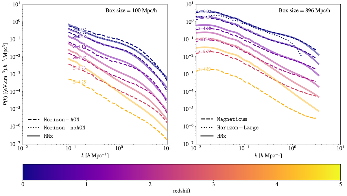
Fig. 4.

Download original image
Matter-pressure power spectrum as a function of redshift. The left panel shows the results for simulations with a box size of 100 h−1 Mpc, thus Horizon-AGN in dashed line compared to HMx in solid line, and Horizon-noAGN at z = 0 in dotted line. The right panel shows the results for simulations with a box size of 896 h−1 Mpc, thus Magneticum in dashed line compared to HMx in solid line, and Horizon-Large at z = 0 in dotted line. The power spectra go from z = 0 in dark blue to z = 4.25 in yellow.
Current usage metrics show cumulative count of Article Views (full-text article views including HTML views, PDF and ePub downloads, according to the available data) and Abstracts Views on Vision4Press platform.
Data correspond to usage on the plateform after 2015. The current usage metrics is available 48-96 hours after online publication and is updated daily on week days.
Initial download of the metrics may take a while.