Open Access

Fig. 5.

image

Download original image

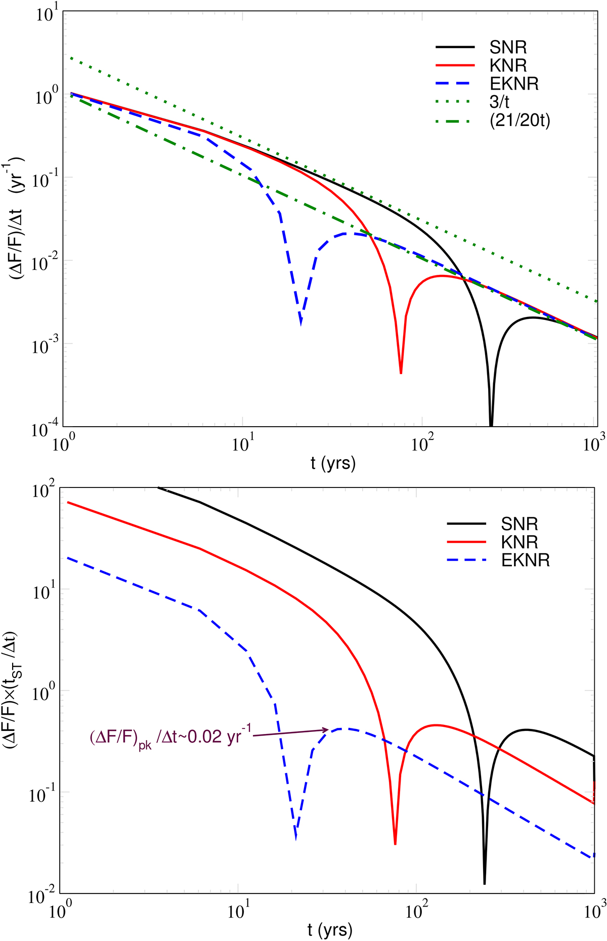
Detection prospects for KNRs from their temporal evolution information. Top: Δ F F Δ t $ \frac{\Delta F}{F\Delta t} $ for our fiducial cases with Δt = 5 yr. dlog F 3 GHz d t $ \frac{\mathrm{dlog}F_{\mathrm{3 GHz}}}{\mathrm{d}t} $ approaches 3/t and ∼1/t in the blast wave and ST regimes, respectively. Bottom: ( Δ F F ) × ( t ST Δ t ) $ (\frac{\Delta F}{F})\times (\frac{t_{\mathrm{ST}}}{\Delta t}) $ for the three cases with Δt = 5 yr. We note that tST is not available to us directly and has to be extracted from the light-curve data. As ( Δ F F ) × ( t ST Δ t ) $ (\frac{\Delta F}{F})\times (\frac{t_{\mathrm{ST}}}{\Delta t}) $ is similar for all cases around the Sedov time, we can estimate tST from observed quantities, such as Δ F F $ \frac{\Delta F}{F} $ and Δt (Eq. (37)). As an example, we show the case for an EKNR for which Δ F F Δ t 0.02 yr 1 $ \frac{\Delta F}{F\Delta t}\sim 0.02\,\mathrm{yr^{-1}} $ at around the time when it starts to enter deep into the Sedov regime (upper panel).

Current usage metrics show cumulative count of Article Views (full-text article views including HTML views, PDF and ePub downloads, according to the available data) and Abstracts Views on Vision4Press platform.

Data correspond to usage on the plateform after 2015. The current usage metrics is available 48-96 hours after online publication and is updated daily on week days.

Initial download of the metrics may take a while.