Open Access

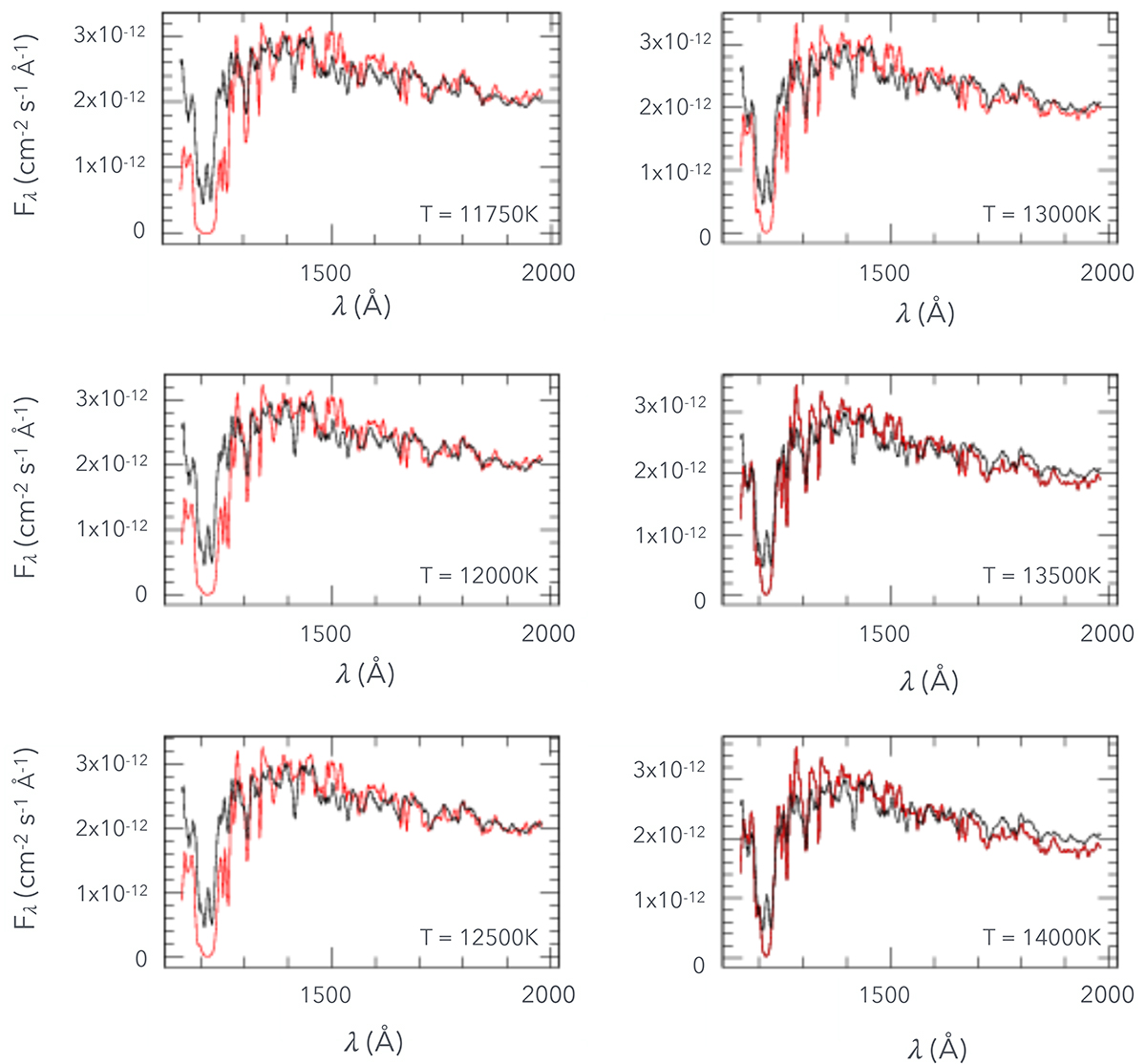
Fig. A.1.

image

Download original image

Comparison between BOSZ models and the STIS spectrum de-reddened for E(B − V) = 0.109 mag. Models are in red and spectrum in black. The temperature for the models is listed within each plot.

Current usage metrics show cumulative count of Article Views (full-text article views including HTML views, PDF and ePub downloads, according to the available data) and Abstracts Views on Vision4Press platform.

Data correspond to usage on the plateform after 2015. The current usage metrics is available 48-96 hours after online publication and is updated daily on week days.

Initial download of the metrics may take a while.