Open Access

Fig. 9.

image

Download original image

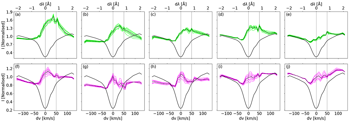
Hβ profiles obtained from blob and between blob locations. The pixel locations are marked in panel 5f with corresponding colours and labels. The left vertical black line shows the line core position and the right vertical line is at +0.8 Å, which has been used for the images in Fig. 5.

Current usage metrics show cumulative count of Article Views (full-text article views including HTML views, PDF and ePub downloads, according to the available data) and Abstracts Views on Vision4Press platform.

Data correspond to usage on the plateform after 2015. The current usage metrics is available 48-96 hours after online publication and is updated daily on week days.

Initial download of the metrics may take a while.