Open Access

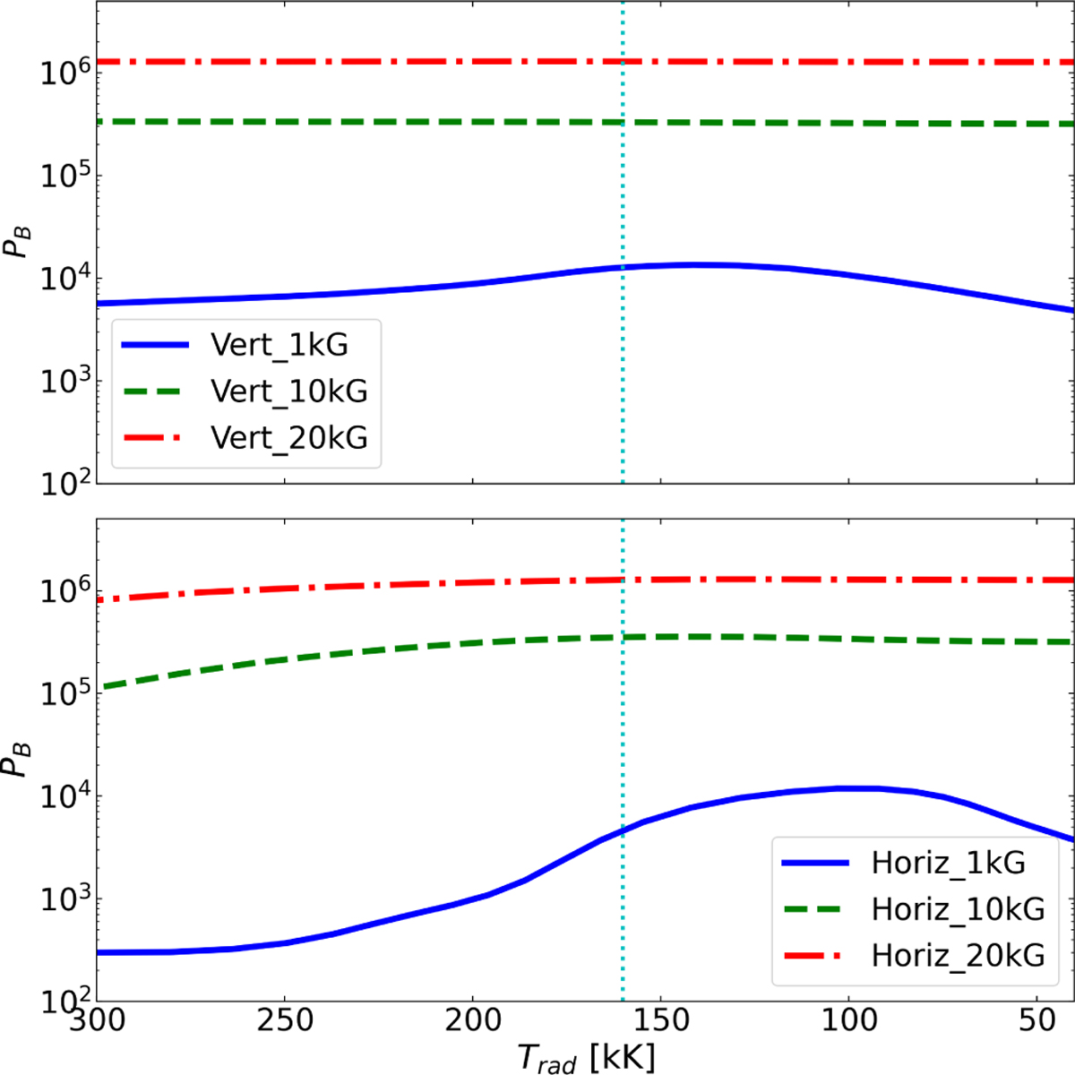
Fig. 6

image

Download original image

Horizontally and time-averaged (over the final three days of simulation) magnetic pressure (in cgs units) for models with radial (top) and horizontal (bottom) magnetic field plotted as a function of radiation temperature. There is a nearly constant pressure for the strong magnetic field models, whereas the moderately strong models experience decompression near the base and compression around the iron opacity bump, mimicking piston-like dynamics for our numerical models.

Current usage metrics show cumulative count of Article Views (full-text article views including HTML views, PDF and ePub downloads, according to the available data) and Abstracts Views on Vision4Press platform.

Data correspond to usage on the plateform after 2015. The current usage metrics is available 48-96 hours after online publication and is updated daily on week days.

Initial download of the metrics may take a while.