Open Access

Fig. 8

image

Download original image

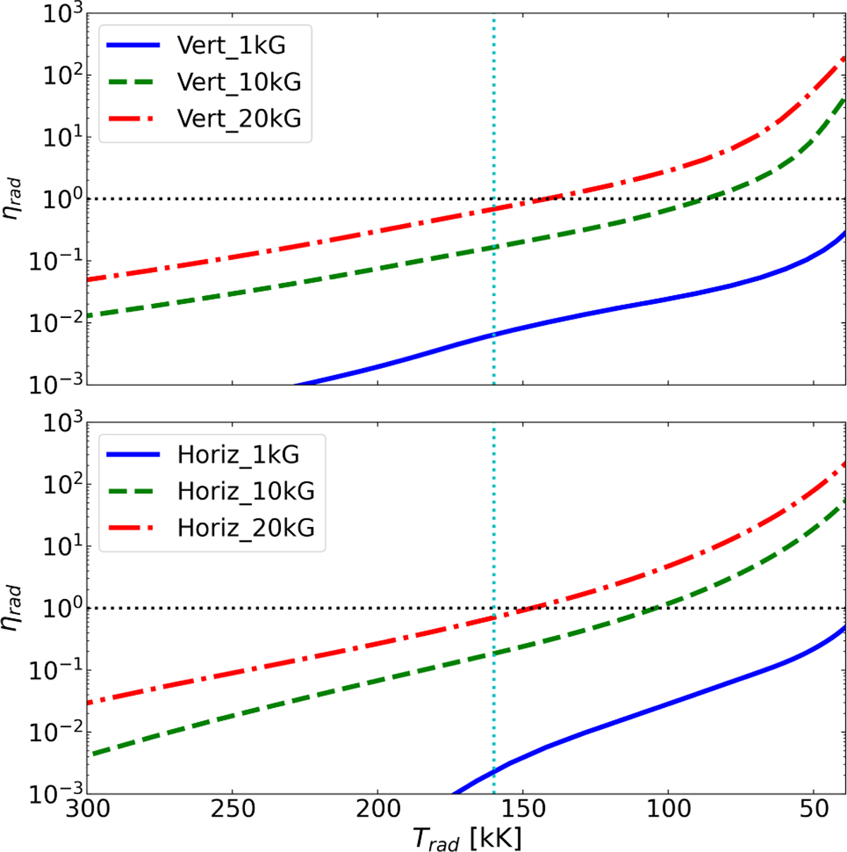
Same as Figure 7, but including radiation pressure in the definition ηradPB/(pgas + prad). It shows that ηrad remains below unity near iron opacity peak even for the strongest magnetic case. Even so, these models suppress atmospheric velocity fluctuations, suggesting that pgas plays the key role in this phenomenon.

Current usage metrics show cumulative count of Article Views (full-text article views including HTML views, PDF and ePub downloads, according to the available data) and Abstracts Views on Vision4Press platform.

Data correspond to usage on the plateform after 2015. The current usage metrics is available 48-96 hours after online publication and is updated daily on week days.

Initial download of the metrics may take a while.