Fig. 8.

Download original image
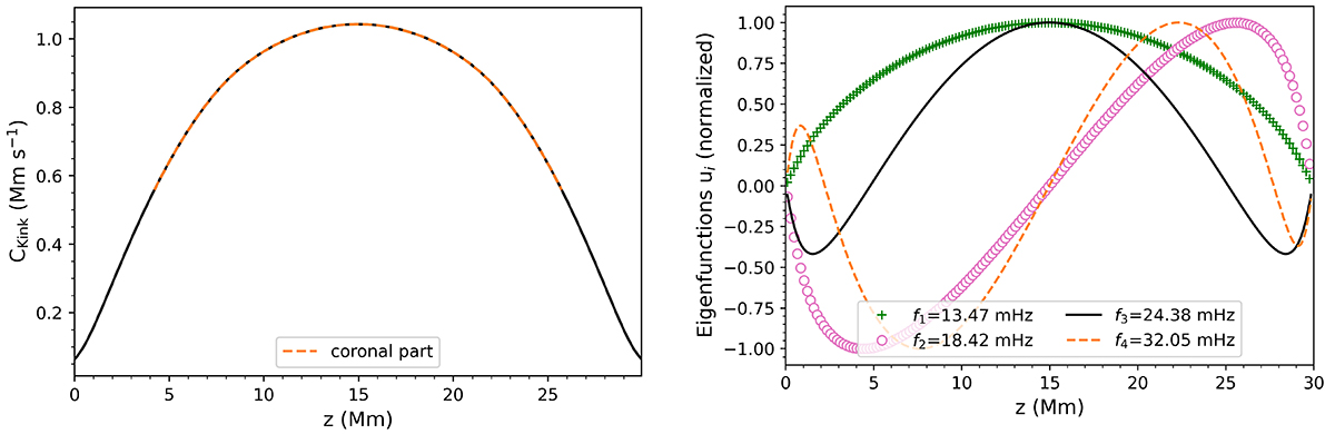
Profiles of the kink speed along the z-axis (left) and the corresponding normalised eigenfunctions of the 1D system of Eq. (12) (right) for the short loop model used in Gao et al. (2023). The coronal part of the kink speed profile is highlighted in the left panel (z ∈ [4.2, 25.8] Mm, dashed orange line) and the eigenfunctions for the entire loop length in the right.
Current usage metrics show cumulative count of Article Views (full-text article views including HTML views, PDF and ePub downloads, according to the available data) and Abstracts Views on Vision4Press platform.
Data correspond to usage on the plateform after 2015. The current usage metrics is available 48-96 hours after online publication and is updated daily on week days.
Initial download of the metrics may take a while.