Open Access

Fig. 5.

image

Download original image

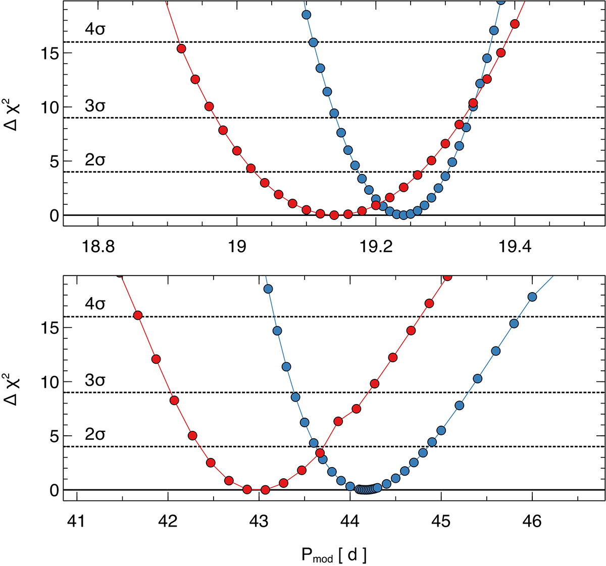
Pmod detection in the O–C diagrams. We show Δχ2 as a function of modulating period Pmod for the final best-fitting model to the O–C diagrams in Fig. 4. Odd QPEs are shown in red, even ones in blue. We explored a wide range of Pmod between 4 d and 90 d, and all other local minima are noisy (i.e. neighbouring data points to the local minimum have much higher Δχ2 value).

Current usage metrics show cumulative count of Article Views (full-text article views including HTML views, PDF and ePub downloads, according to the available data) and Abstracts Views on Vision4Press platform.

Data correspond to usage on the plateform after 2015. The current usage metrics is available 48-96 hours after online publication and is updated daily on week days.

Initial download of the metrics may take a while.