Open Access

Fig. 8.

image

Download original image

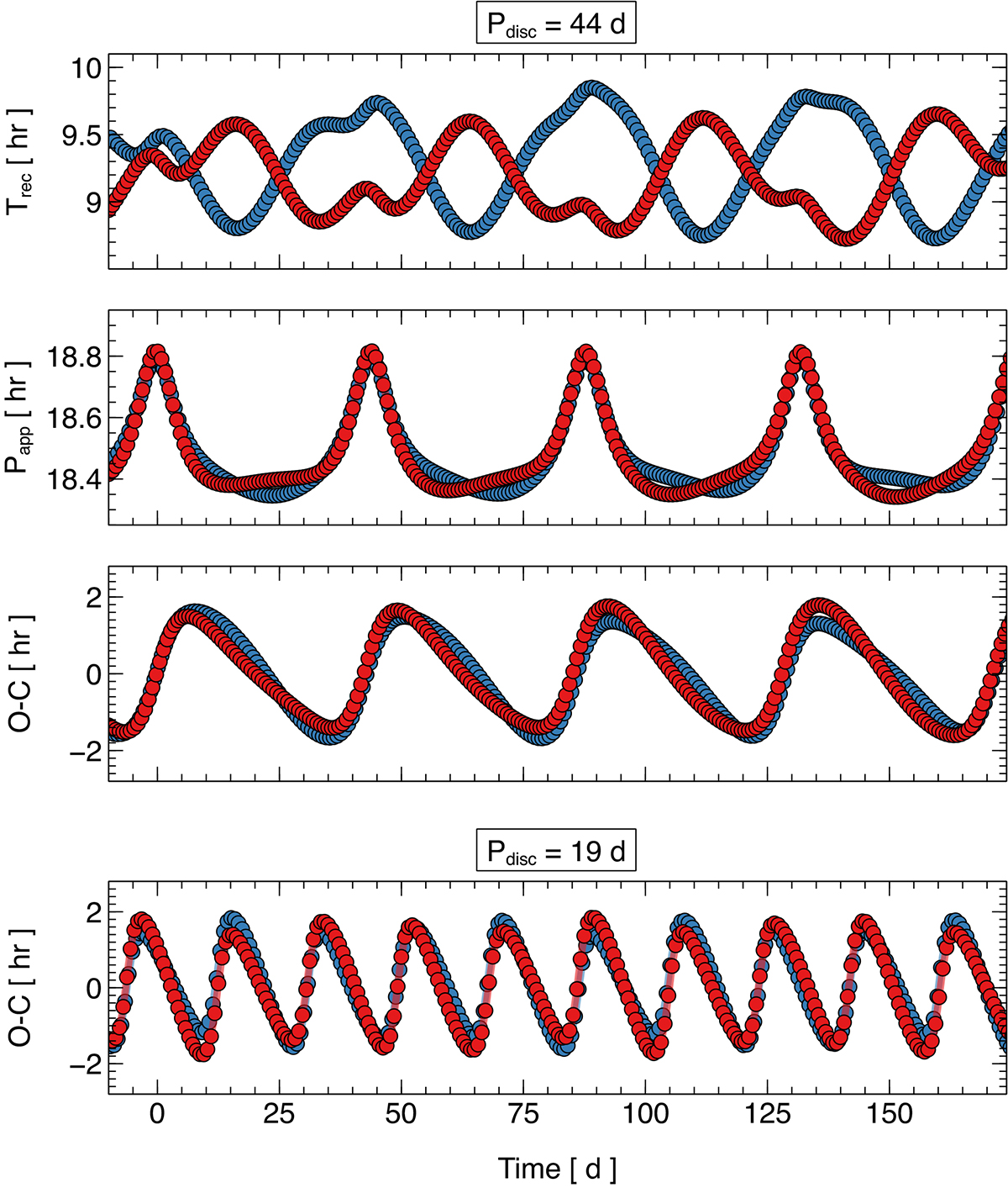
Disc precession solution for GSN 069. In the upper three panels, we show Trec, Papp, and the O–C diagrams for a disc precession solution with Pdisc ∼ 44 d for GSN 069 (see text for further details). The lower panel shows the O–C diagrams for the same simulation but with Pdisc ∼ 19 d.

Current usage metrics show cumulative count of Article Views (full-text article views including HTML views, PDF and ePub downloads, according to the available data) and Abstracts Views on Vision4Press platform.

Data correspond to usage on the plateform after 2015. The current usage metrics is available 48-96 hours after online publication and is updated daily on week days.

Initial download of the metrics may take a while.