Open Access

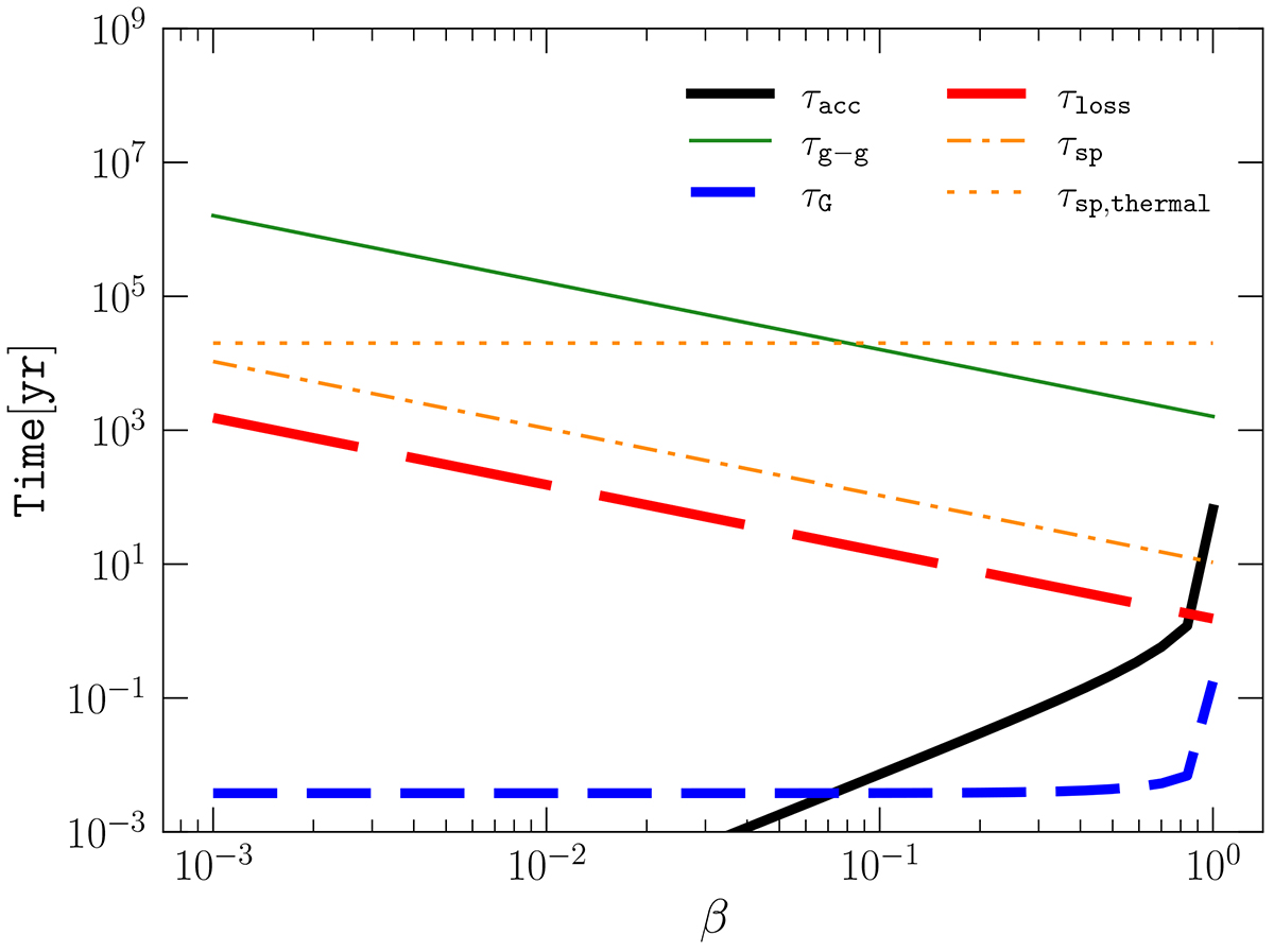
Fig. 1.

image

Download original image

Timescales relevant to the acceleration of a silicate dust grain of size a = 10−6 cm and shock velocity ush = 109 cm/s vs. the grain velocity, β, in units of c. The relevant typical times shown are: the acceleration time, τacc (solid black), the grain-grain interaction time, τg − g (solid thin green), the gyration time (dashed blue), the grain loss time from frictional interactions with the background plasma (dashed red), the associated sputtering time (dash-dotted thin orange), and the thermal sputtering time (dotted thin orange).

Current usage metrics show cumulative count of Article Views (full-text article views including HTML views, PDF and ePub downloads, according to the available data) and Abstracts Views on Vision4Press platform.

Data correspond to usage on the plateform after 2015. The current usage metrics is available 48-96 hours after online publication and is updated daily on week days.

Initial download of the metrics may take a while.