Open Access

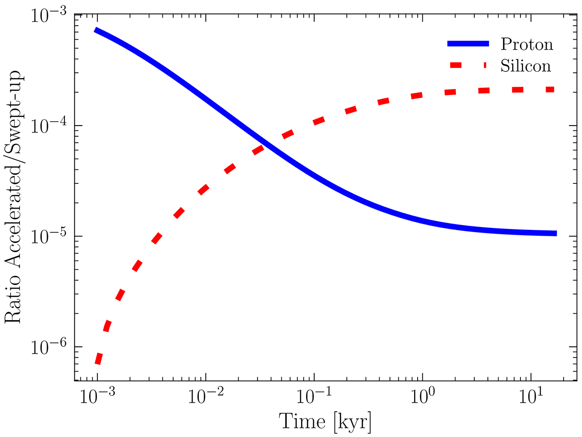
Fig. 6.

image

Download original image

Ratio of the cumulative accelerated ions to cumulative swept-up ions. The solid blue line corresponds to protons, and the dotted red line to silicon considering sputtering as the main destruction mechanism for the dust grains. The calculation was carried out with the number of CRs or dust grains (ηCR = 10−5, and ηa ∼ 5 × 10−3 in order to get a silicon-proton ratio of ∼20) at the end of the Sedov-Taylor phase.

Current usage metrics show cumulative count of Article Views (full-text article views including HTML views, PDF and ePub downloads, according to the available data) and Abstracts Views on Vision4Press platform.

Data correspond to usage on the plateform after 2015. The current usage metrics is available 48-96 hours after online publication and is updated daily on week days.

Initial download of the metrics may take a while.