Fig. 3

Download original image
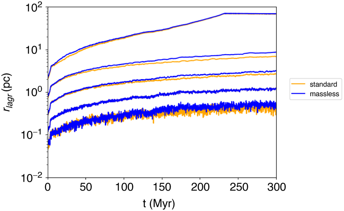
Comparison between the Lagrangian radii of the MLPs in the C12.8k model using the standard version of NBODY6++GPU (in orange) and using NBODY6++GPU-MASSLESS (in blue). The C12.8k model is also used for the main simulations (see next sections). The curves show the 0.1 (bottom), 1, 10, 50, and 90% (top) Lagrangian radii for both models. The difference between the two models is minimal and is a consequence of the stochastic nature of the clusters and numerical noise.
Current usage metrics show cumulative count of Article Views (full-text article views including HTML views, PDF and ePub downloads, according to the available data) and Abstracts Views on Vision4Press platform.
Data correspond to usage on the plateform after 2015. The current usage metrics is available 48-96 hours after online publication and is updated daily on week days.
Initial download of the metrics may take a while.