Fig. 4

Download original image
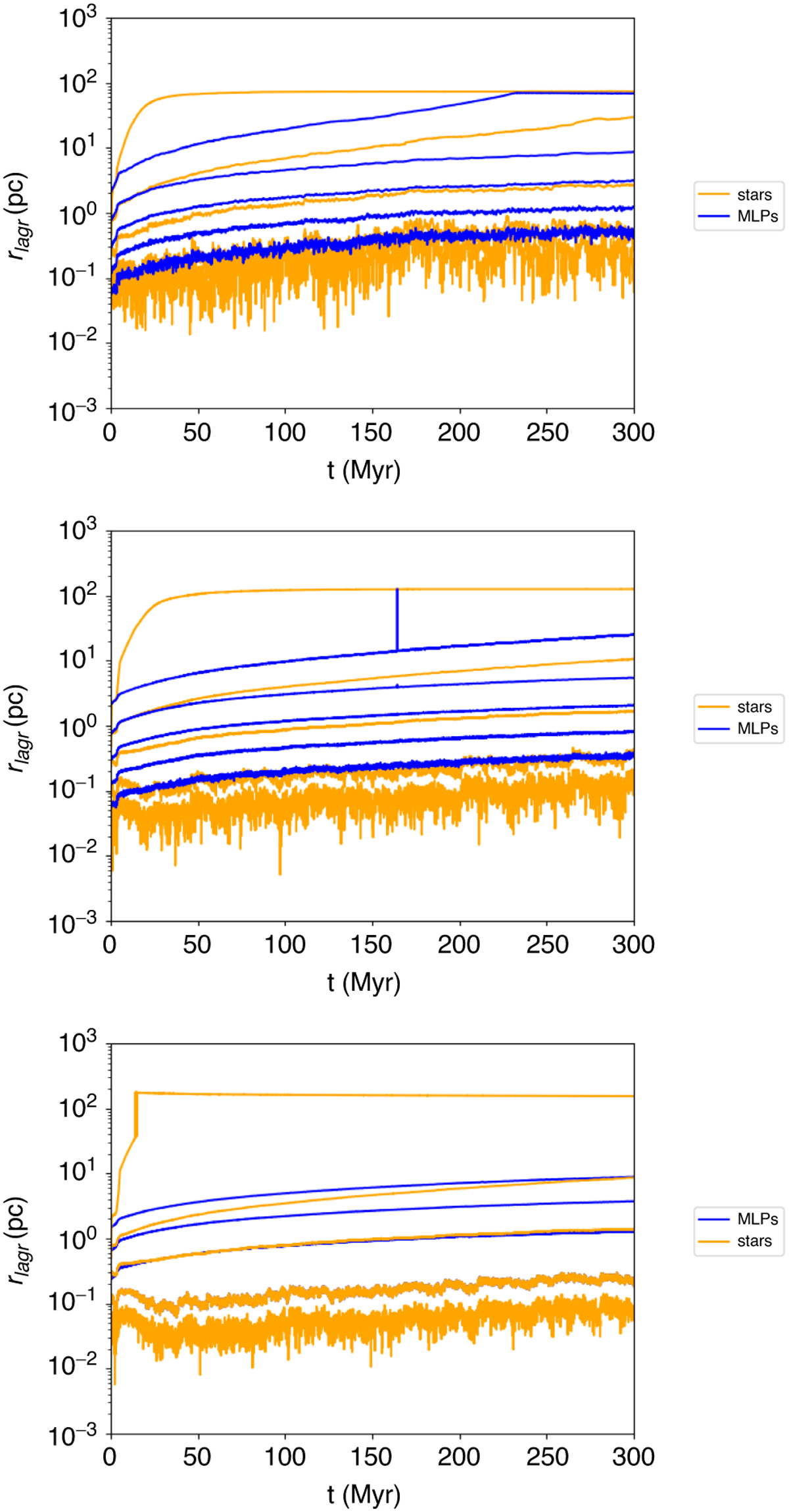
Evolution of the Lagrangian radii containing 0.1 (bottom), 1, 10, 50, and 90% (top) of the cluster mass for stars (in green) and MLPs (in red) for models C12.8k (top panel), C64.8k (middle panel), and C128k (bottom panel). The Lagrangian radii at each time are calculated using the total cluster mass of the star cluster at that time.
Current usage metrics show cumulative count of Article Views (full-text article views including HTML views, PDF and ePub downloads, according to the available data) and Abstracts Views on Vision4Press platform.
Data correspond to usage on the plateform after 2015. The current usage metrics is available 48-96 hours after online publication and is updated daily on week days.
Initial download of the metrics may take a while.