Open Access

Fig. 1

image

Download original image

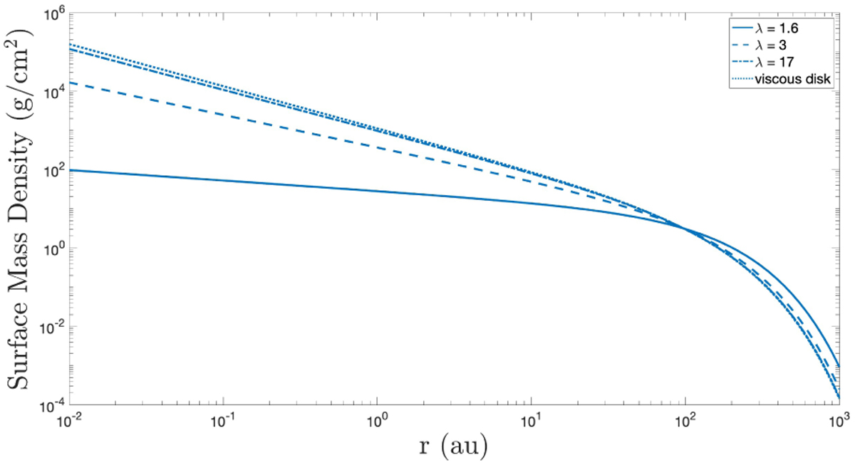
Initial surface mass densities of Disc 5 for WD discs with λ = 1.6, 3, and 17 (solid, dashed, and dash-dotted, respectively) compared with that for the VE disc (dotted). More inefficient WD discs lead to flatter surface mass densities due to the stronger wind mass loss. All the discs have initially the same mass.

Current usage metrics show cumulative count of Article Views (full-text article views including HTML views, PDF and ePub downloads, according to the available data) and Abstracts Views on Vision4Press platform.

Data correspond to usage on the plateform after 2015. The current usage metrics is available 48-96 hours after online publication and is updated daily on week days.

Initial download of the metrics may take a while.