Open Access

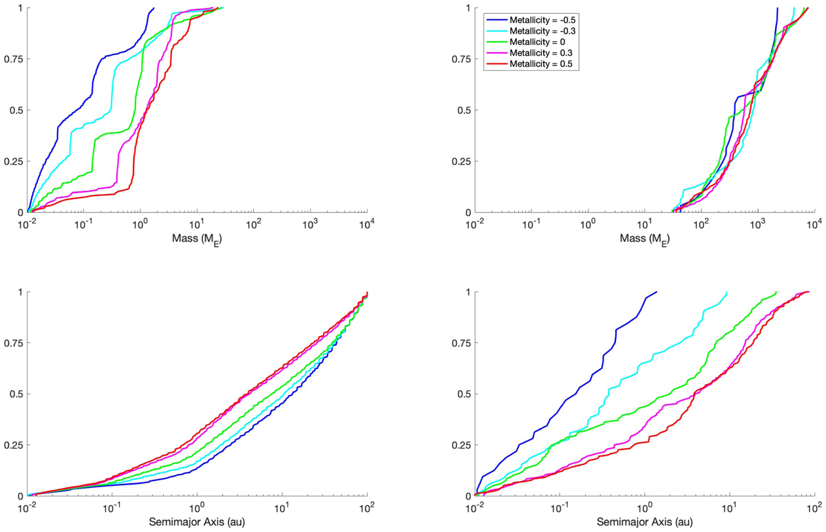
Fig. 11

image

Download original image

Effects of metallicity on planetary masses and orbital radii for λ = 3. The top-left and top-right panels show the cumulative distribution of planetary mass for low-mass planets (M < 30 M) and giant planets (M > 30 M), respectively. The lower-left and lower-right panels display the corresponding cumulative distribution of their orbital radii.

Current usage metrics show cumulative count of Article Views (full-text article views including HTML views, PDF and ePub downloads, according to the available data) and Abstracts Views on Vision4Press platform.

Data correspond to usage on the plateform after 2015. The current usage metrics is available 48-96 hours after online publication and is updated daily on week days.

Initial download of the metrics may take a while.