Open Access
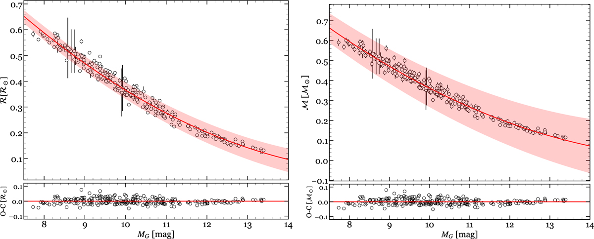
Fig. 9

Download original image
Stellar radius (ℛ, left) and mass (ℳ, right) as a function of the absolute magnitude (MG) valid in the M-dwarf domain. The red line represents the polynomial fit described in Table 4, and the red shaded area indicates the 1-σ level of uncertainty.
Current usage metrics show cumulative count of Article Views (full-text article views including HTML views, PDF and ePub downloads, according to the available data) and Abstracts Views on Vision4Press platform.
Data correspond to usage on the plateform after 2015. The current usage metrics is available 48-96 hours after online publication and is updated daily on week days.
Initial download of the metrics may take a while.