Open Access

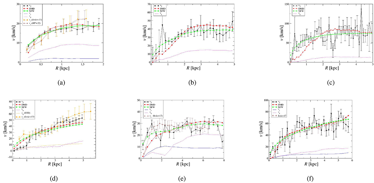
Fig. 7.

image

Download original image

Best fit with the DMD and NFW models for some of the galaxies in our sample: CVnIdwA (a), DDO43 (b), DDO46 (c), DDO47 (d), DDO50 (e), and DDO52 (f). The circular velocity due to the stellar and gas components is also shown. For comparison, we report in some cases the asymmetric drift-corrected rotation curves measured by Iorio et al. (2017, Iorio+17) and Mancera Piña et al. (2022, MP+22). For the other fits of the rotation curves, see Figs. B.1 and B.2.

Current usage metrics show cumulative count of Article Views (full-text article views including HTML views, PDF and ePub downloads, according to the available data) and Abstracts Views on Vision4Press platform.

Data correspond to usage on the plateform after 2015. The current usage metrics is available 48-96 hours after online publication and is updated daily on week days.

Initial download of the metrics may take a while.