Open Access

Fig. 14.

image

Download original image

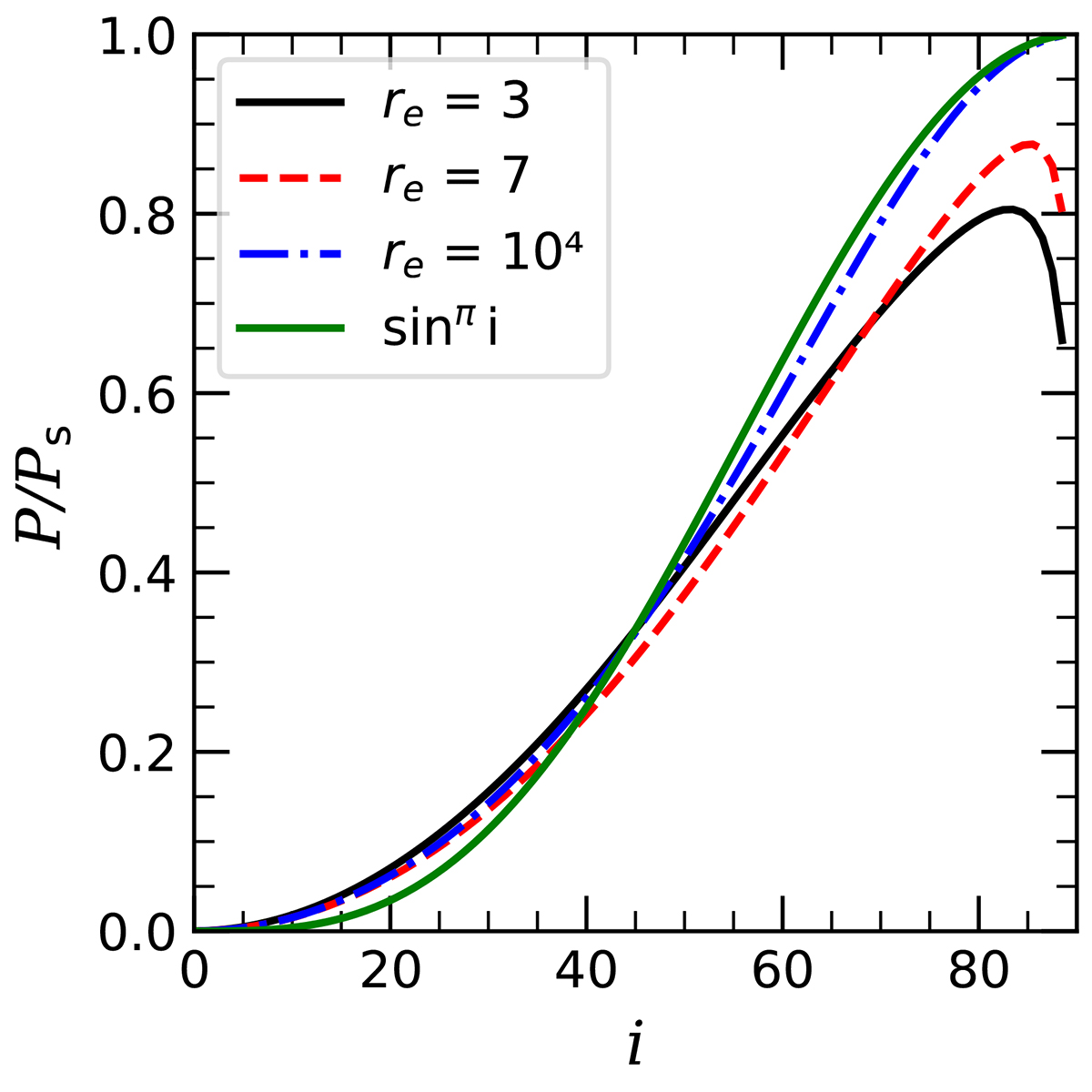
PD as a function of inclination, scaled to its maximal value, Ps, in the case of toroidal magnetic field (ϕ′ = 90°), equatorial counterclockwise rotation (η = 0, σ = 90°). The case re = 104 shows the dependence in the absence of relativistic effects and can be approximated well by sinπi.

Current usage metrics show cumulative count of Article Views (full-text article views including HTML views, PDF and ePub downloads, according to the available data) and Abstracts Views on Vision4Press platform.

Data correspond to usage on the plateform after 2015. The current usage metrics is available 48-96 hours after online publication and is updated daily on week days.

Initial download of the metrics may take a while.