Open Access

Fig. 3.

image

Download original image

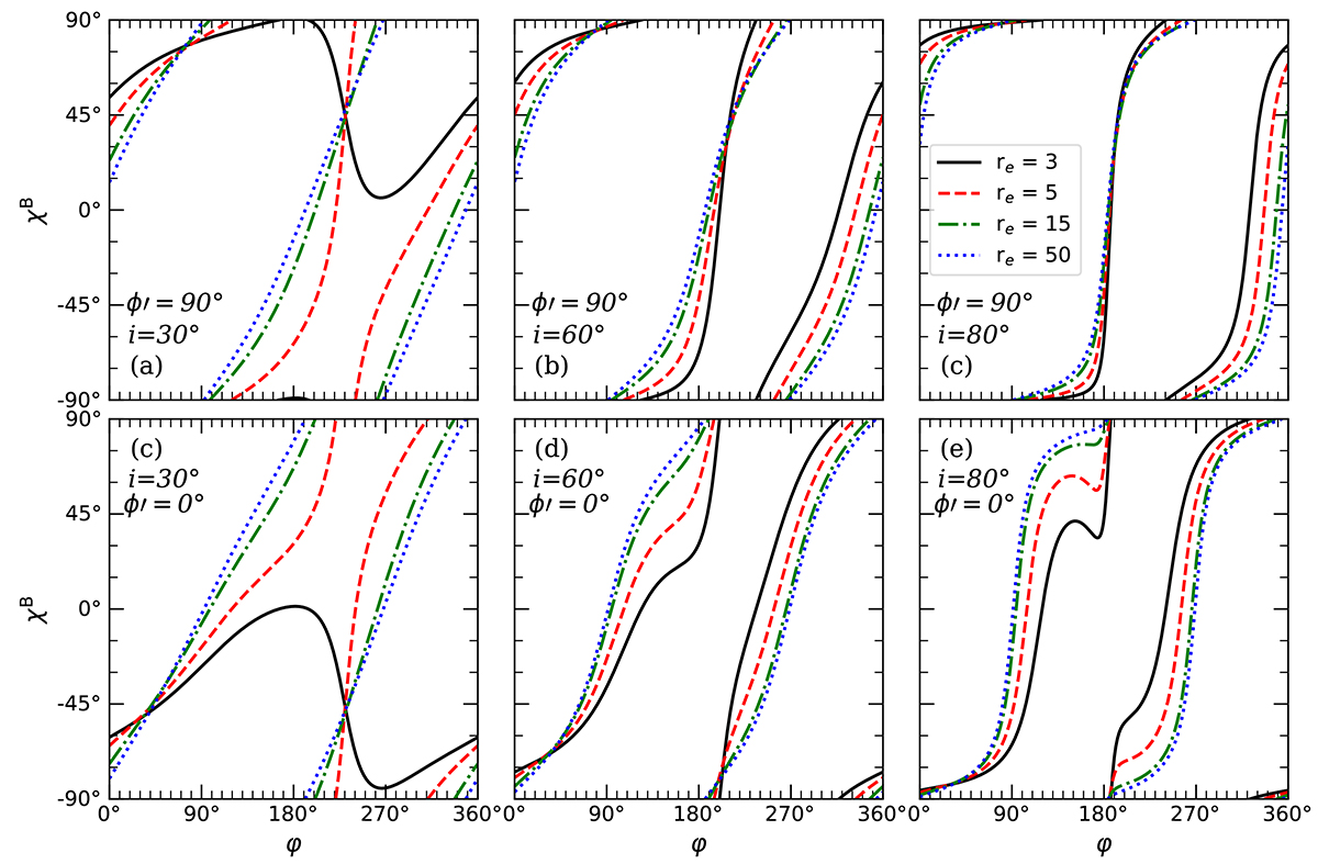
Rotation of PA due to magnetic field orientation, as a function of azimuth (in disk coordinates) for different equatorial radii (measured in units of Schwarzschild radii): re = 3 (solid black), 5 (dashed red), 15 (dash-dotted green), and 50 (dotted blue). The matter is assumed to undergo circular, counterclockwise rotation (σ = 90°) with velocity following Luminet’s law. The upper panels correspond to a purely radial comoving magnetic field (ϕ′ = 90°) and the lower panels correspond to a purely toroidal field (ϕ′ = 0). The columns (left to right) correspond to the observer inclination, i = 30°, 60°, and 80°.

Current usage metrics show cumulative count of Article Views (full-text article views including HTML views, PDF and ePub downloads, according to the available data) and Abstracts Views on Vision4Press platform.

Data correspond to usage on the plateform after 2015. The current usage metrics is available 48-96 hours after online publication and is updated daily on week days.

Initial download of the metrics may take a while.