Open Access

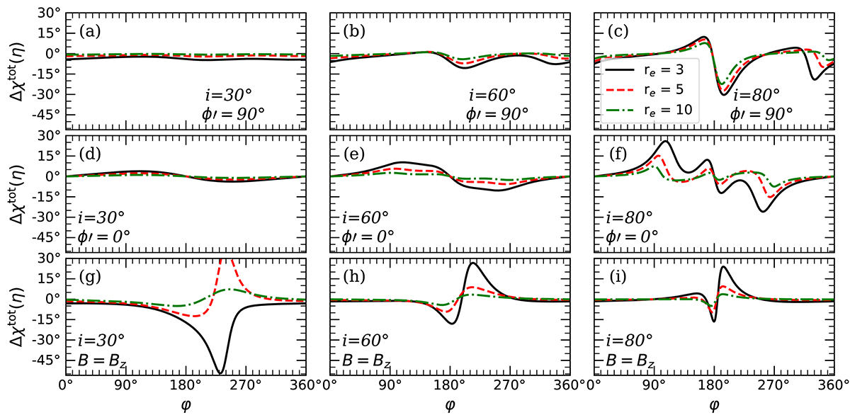
Fig. 6.

image

Download original image

Difference between the PA obtained for the angle η = 20° and η = 0 (χtot(η = 20° ) − χtot(η = 0)), for different radii, observer inclinations, and magnetic fields, as a function of the azimuth in the disk coordinates. The upper panels show the case of the radial field, the middle panels correspond to the purely toroidal field, and the lower panels correspond to the vertical field. The columns, from left to right, correspond to an increasing observer inclination: i = 30°, 60°, and 80°. The matter is assumed to rotate counterclockwise (σ = 90), with a velocity following Luminet’s law.

Current usage metrics show cumulative count of Article Views (full-text article views including HTML views, PDF and ePub downloads, according to the available data) and Abstracts Views on Vision4Press platform.

Data correspond to usage on the plateform after 2015. The current usage metrics is available 48-96 hours after online publication and is updated daily on week days.

Initial download of the metrics may take a while.