Open Access

Fig. 7.

image

Download original image

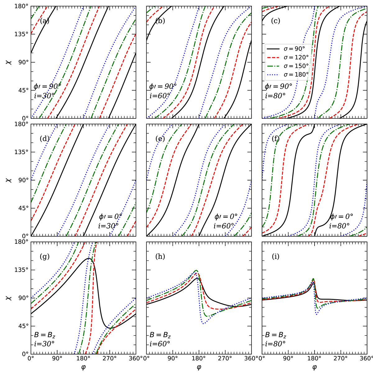
Effects of noncircular motion (σ) on the observed PA (χtot) for different inclinations (left to right: i = 30°, 60°, and 80°) and magnetic fields (upper panels: radial field, middle panels: toroidal field, lower panels: vertical field), as a function of the azimuth in the disk coordinates. Different directions of motion correspond to σ = 90° (solid black lines), 110° (dashed red), 150° (dash-dotted green), and 180° (dotted blue). The emitting matter is assumed to be located in the equatorial plane (η = 0) at a distance of r = 5, with a dimensionless velocity obeying Luminet’s law.

Current usage metrics show cumulative count of Article Views (full-text article views including HTML views, PDF and ePub downloads, according to the available data) and Abstracts Views on Vision4Press platform.

Data correspond to usage on the plateform after 2015. The current usage metrics is available 48-96 hours after online publication and is updated daily on week days.

Initial download of the metrics may take a while.