Open Access

Fig. A.4

image

Download original image

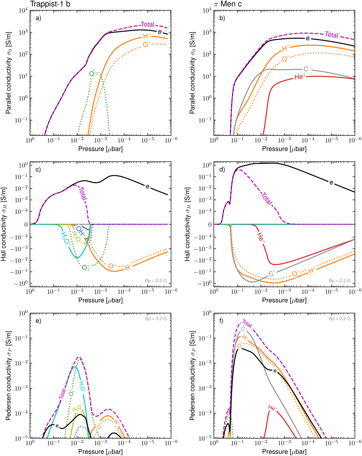
Parallel (top panel), Hall (middle panels) and Pedersen (bottom panels) conductivities for Trappist-1 b (left column) and π Men c (right column). The contribution of electrons is shown in black solid lines, the individual contributions of ions in colored solid and dotted lines, and the total conductivity is shown in dashed magenta in each panel. For the Hall and Pedersen conductivity, a constant planetary field of 0.2 G has been assumed throughout the upper atmosphere.

Current usage metrics show cumulative count of Article Views (full-text article views including HTML views, PDF and ePub downloads, according to the available data) and Abstracts Views on Vision4Press platform.

Data correspond to usage on the plateform after 2015. The current usage metrics is available 48-96 hours after online publication and is updated daily on week days.

Initial download of the metrics may take a while.