Open Access

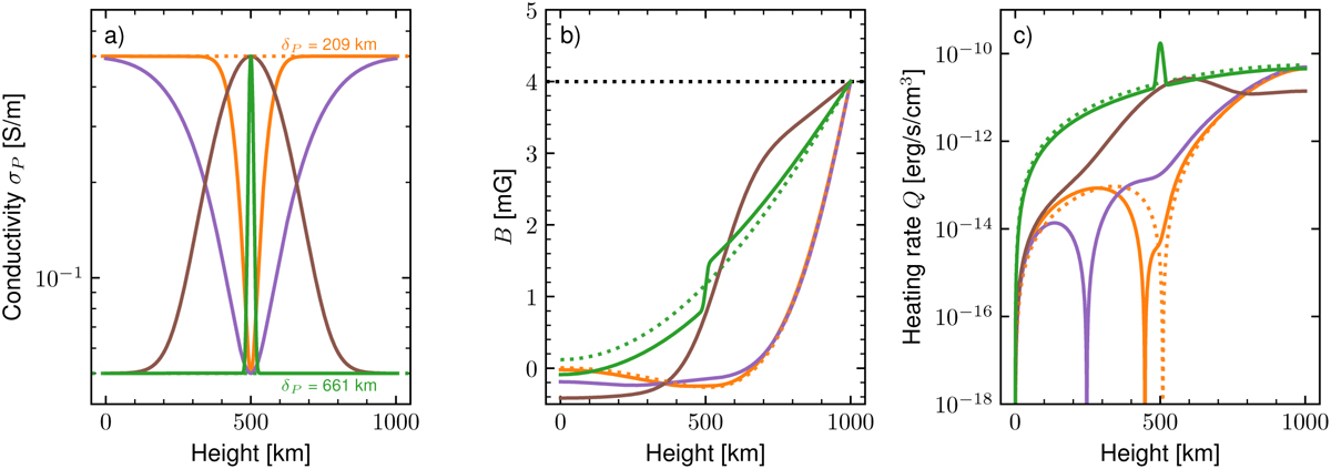
Fig. 3

image

Download original image

Same experimental setup than in panels e and f of Fig. 2, but with a Pedersen conductivity σP that varies in space. The Pedersen conductivity profiles are shown in panel a. The magnetic field profiles are shown in panel b, and the heating rates in panel c. The dashed orange and green curve correspond to the solid orange and green curves in panels e and f of Fig. 2.

Current usage metrics show cumulative count of Article Views (full-text article views including HTML views, PDF and ePub downloads, according to the available data) and Abstracts Views on Vision4Press platform.

Data correspond to usage on the plateform after 2015. The current usage metrics is available 48-96 hours after online publication and is updated daily on week days.

Initial download of the metrics may take a while.