Open Access

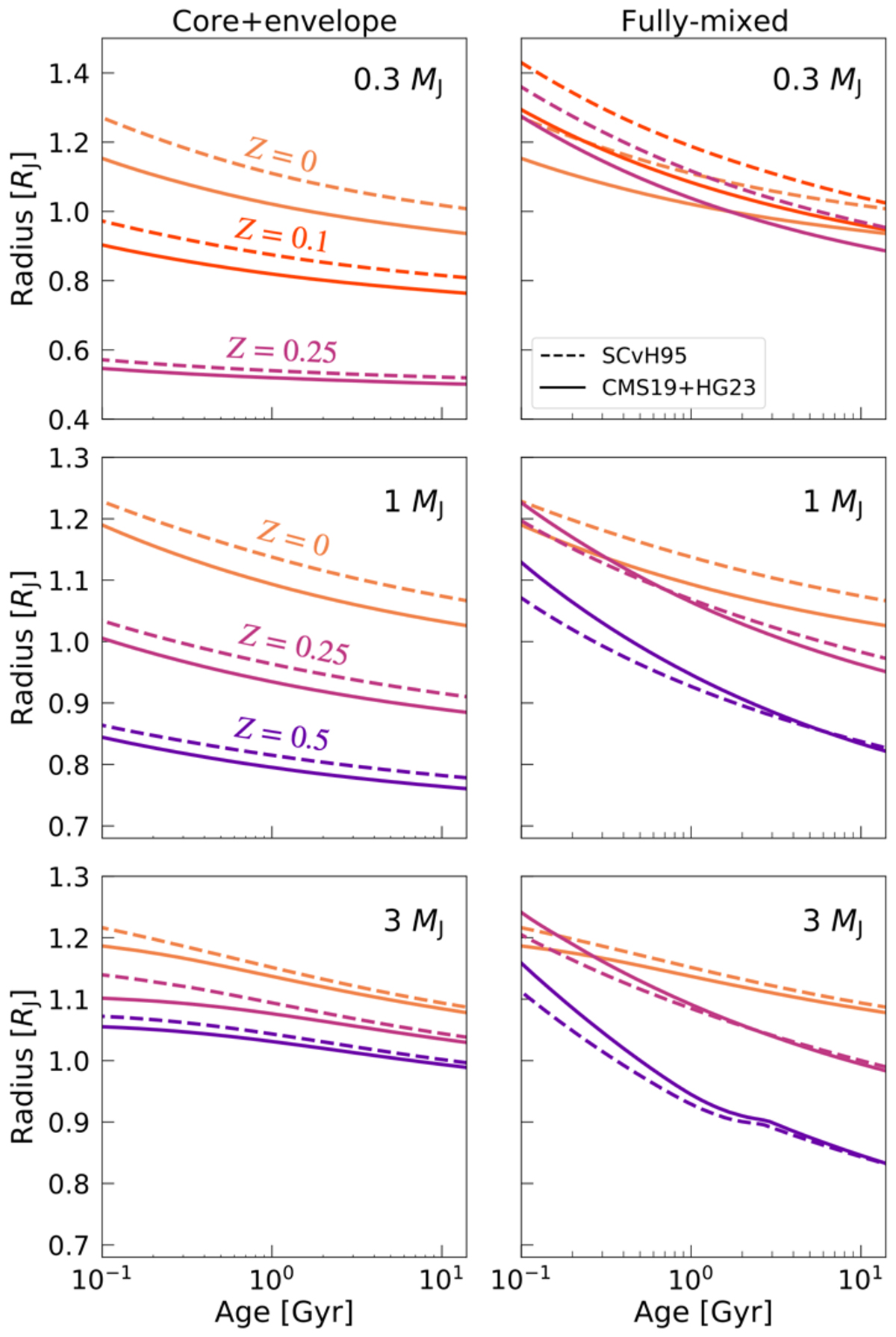
Fig. 1.

image

Download original image

Radius vs. time for planets with masses of 0.3, 1, and 3 MJ (top, middle, and bottom panels, respectively). Left (right) panels correspond to models assuming a core+envelope (fully mixed) structure. Results with different H–He EOSs are shown with dashed and solid lines. The colours correspond to different assumed metallicities. The middle and bottom panels have similar limits on the y-axis, but not the top panels.

Current usage metrics show cumulative count of Article Views (full-text article views including HTML views, PDF and ePub downloads, according to the available data) and Abstracts Views on Vision4Press platform.

Data correspond to usage on the plateform after 2015. The current usage metrics is available 48-96 hours after online publication and is updated daily on week days.

Initial download of the metrics may take a while.