Open Access
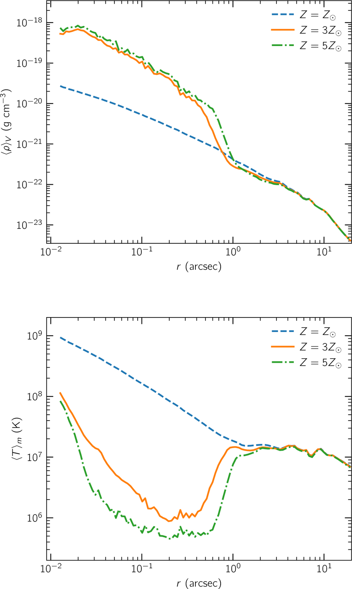
Fig. B.2

Download original image
Radial profiles of time-averaged volume-weighted density (top) and mass-weighted temperature (bottom) over the last 500 yr of simulation time. The models A1, A3, and A5 are shown in solid orange, dashed blue, and dashed-dotted green lines, respectively.
Current usage metrics show cumulative count of Article Views (full-text article views including HTML views, PDF and ePub downloads, according to the available data) and Abstracts Views on Vision4Press platform.
Data correspond to usage on the plateform after 2015. The current usage metrics is available 48-96 hours after online publication and is updated daily on week days.
Initial download of the metrics may take a while.