Open Access

Fig. 2.

image

Download original image

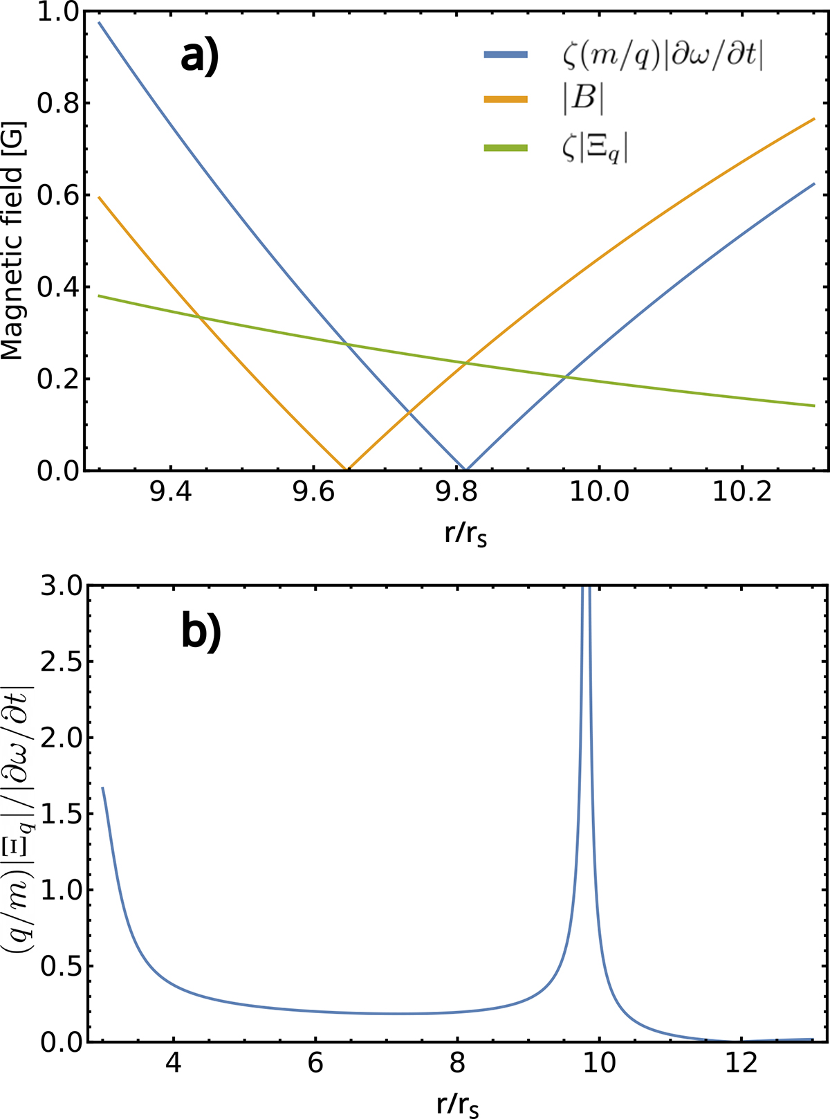
Radial domain of heat-flux-induced seed magnetic field. (a) Magnitude of the linear-time evolution of the magnetic field, |B|, heat flux battery, ζq|, and fluid vorticity, ζ(m/q)|∂ω/∂t|, as functions of r/rS. (b) Ratio of the strengths of the heat flux battery and the time evolution of the fluid vorticity as a function of r/rS.

Current usage metrics show cumulative count of Article Views (full-text article views including HTML views, PDF and ePub downloads, according to the available data) and Abstracts Views on Vision4Press platform.

Data correspond to usage on the plateform after 2015. The current usage metrics is available 48-96 hours after online publication and is updated daily on week days.

Initial download of the metrics may take a while.