Fig. 6.

Download original image
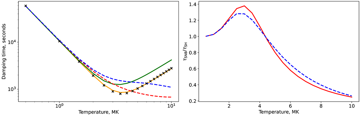
Comparison of slow-wave damping times between the SH and SNB thermal transport models. Left panel: slow-wave damping times for SH in the one-temperature (orange solid curve) and two-temperature (green solid curve) regimes and SNB in the one-temperature (red dashed curve) and two-temperature (blue dashed curve) plasma with n0 = 109 cm−3. The black crosses represent the damping time calculated by solving a dispersion relation (see e.g. Eq. (19) in De Moortel & Hood 2003) for one-temperature plasma with the SH thermal transport model. Right panel: ratio of SNB and SH damping times for one-temperature (red solid curve) and two-temperature (blue dashed curve) plasma with n0 = 109 cm−3.
Current usage metrics show cumulative count of Article Views (full-text article views including HTML views, PDF and ePub downloads, according to the available data) and Abstracts Views on Vision4Press platform.
Data correspond to usage on the plateform after 2015. The current usage metrics is available 48-96 hours after online publication and is updated daily on week days.
Initial download of the metrics may take a while.