Open Access

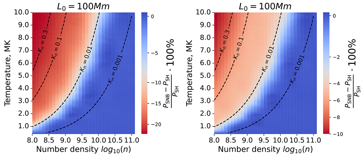
Fig. 7.

image

Download original image

Relative difference between SNB and SH periods of slow waves for the one-temperature (left panel) and two-temperature (right panel) plasma regimes. The plot was obtained by using cubic interpolation of the results from a 0.5 × 0.5 grid cell to a 0.1 × 0.1 grid cell.

Current usage metrics show cumulative count of Article Views (full-text article views including HTML views, PDF and ePub downloads, according to the available data) and Abstracts Views on Vision4Press platform.

Data correspond to usage on the plateform after 2015. The current usage metrics is available 48-96 hours after online publication and is updated daily on week days.

Initial download of the metrics may take a while.