Open Access

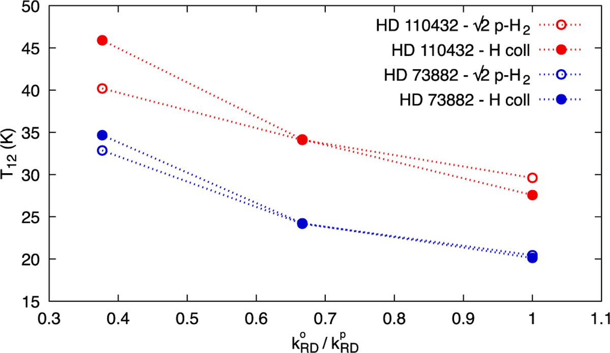
Fig. 7

image

Download original image

Computed values of T12 for the two lines of sight and three ratios of kDo/kDp$\[k_{D}^{o} / k_{D}^{p}\]$. Two different collections of rate constants are considered: kH=2kpH2$\[k_{\mathrm{H}}=\sqrt{2} k_{\mathrm{pH}_{2}}\]$ is the rescaled proxy values used in paper I; H coll denotes the results using the kH from this work.

Current usage metrics show cumulative count of Article Views (full-text article views including HTML views, PDF and ePub downloads, according to the available data) and Abstracts Views on Vision4Press platform.

Data correspond to usage on the plateform after 2015. The current usage metrics is available 48-96 hours after online publication and is updated daily on week days.

Initial download of the metrics may take a while.