Open Access

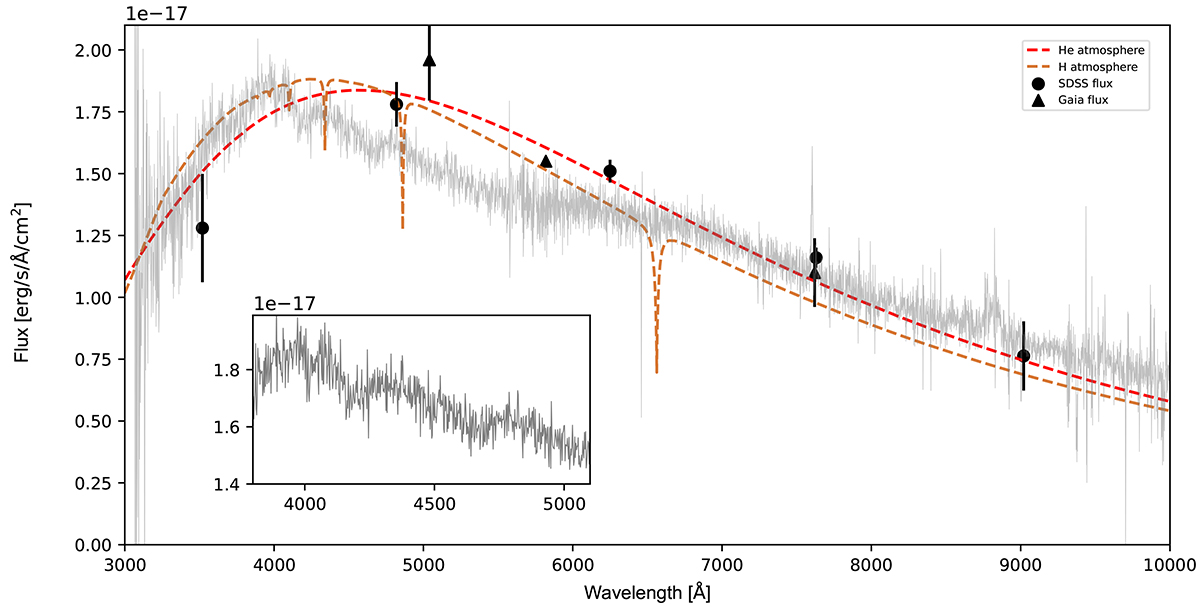
Fig. 1.

image

Download original image

Spectrum of the tertiary taken with (LRIS) at the Keck observatory. The flux calibration of the data was affected by variations in airmass or seeing between observations of the source and standard star. We therefore forced the spectrum to fit the photometry obtained by Gaia and SDSS. Balmer lines are absent in the spectrum, which might indicate either that the WD atmosphere is helium dominated or that the WD is magnetic. The broad features at ∼4200 and 4700 Å (highlighted in the inset), as well as the missing flux in the range between 4000 and 6000 Å, might be consistent with the latter scenario. Fitting the photometry assuming a hydrogen-rich atmosphere, we obtain an effective temperature of 6401 ± 13 K and log(g) = 8.967 ± 0.002, while for a helium-dominated atmosphere we obtained Teff = 6211 ± 14 K and log(g) = 8.883 ± 0.001 (errors are purely statistical here; see text for a rough estimate of the systematics). The model spectra calculated with these parameters are shown as dashed lines. Taking into account systematic errors, the corresponding cooling ages are ≳4.0 Gyr, which represents a lower limit on the total age of the triple WD.

Current usage metrics show cumulative count of Article Views (full-text article views including HTML views, PDF and ePub downloads, according to the available data) and Abstracts Views on Vision4Press platform.

Data correspond to usage on the plateform after 2015. The current usage metrics is available 48-96 hours after online publication and is updated daily on week days.

Initial download of the metrics may take a while.