Open Access

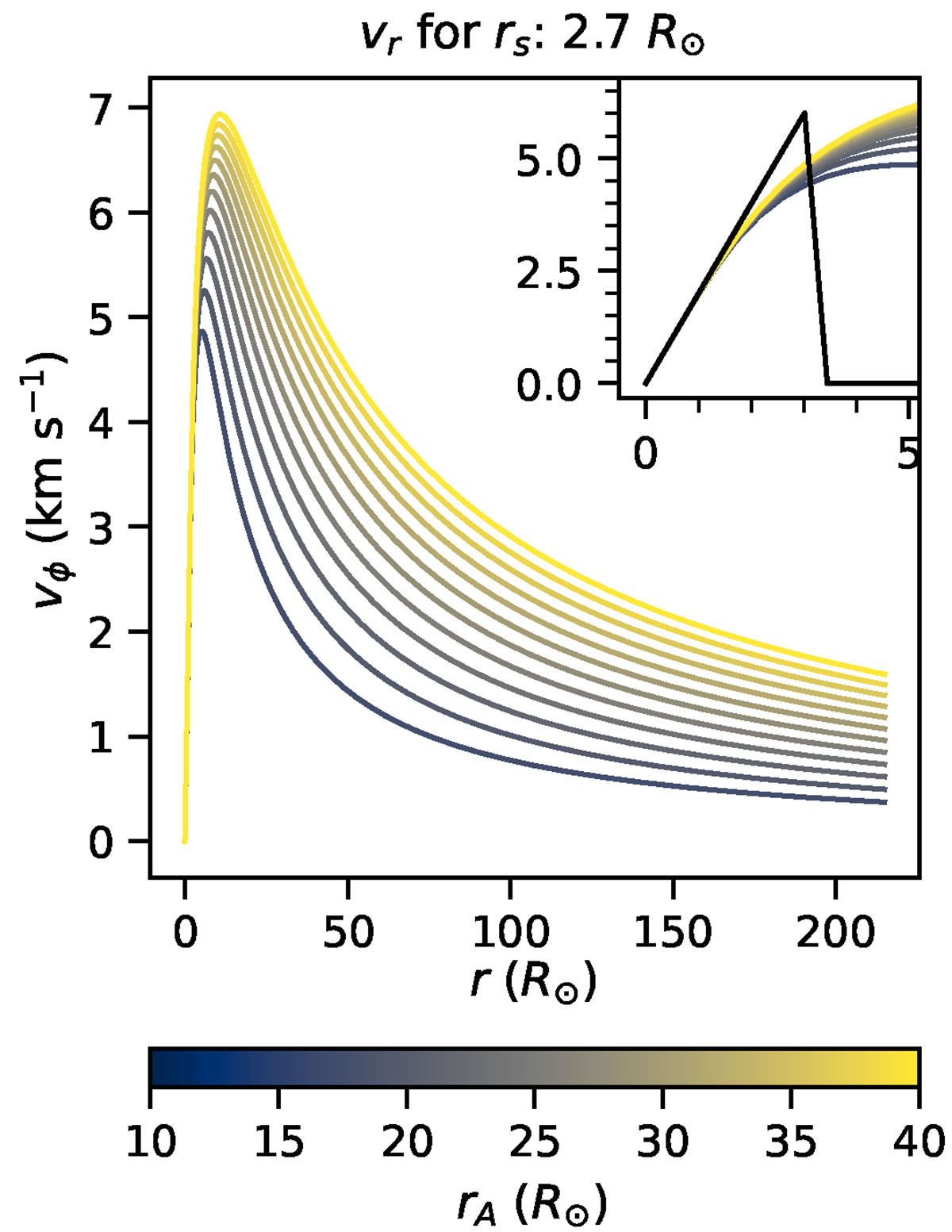
Fig. 14.

image

Download original image

Family of azimuthal velocity profiles for the solar wind, derived using the hybrid radial velocity profile with rs = 2.7, for a range of Alfvén point locations as indicated in the colorbar at the bottom. For these profiles an in situ solar wind speed of 600 km s−1 at L1 (∼215 R) was considered. (Inset) Zoomed-in view at small radial distances. The solid black line indicates the azimuthal velocity profile if we consider corotation with the Sun below the SS height (2.5 R) and no azimuthal component after that height.

Current usage metrics show cumulative count of Article Views (full-text article views including HTML views, PDF and ePub downloads, according to the available data) and Abstracts Views on Vision4Press platform.

Data correspond to usage on the plateform after 2015. The current usage metrics is available 48-96 hours after online publication and is updated daily on week days.

Initial download of the metrics may take a while.