ZTF SN Ia DR2
Open Access

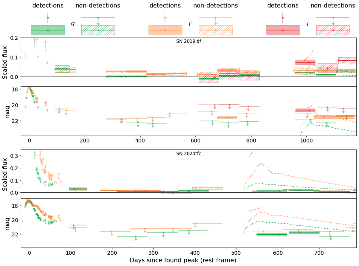
Fig. D.1.

image

Download original image

Binned SMP light curves of the three candidate objects. As no bins ≥5σ are recovered in SN 2018grt, it is not shown here. Both SN 2019ldf and SN 2020tfc do however still have robust detections in some bands. The best fitting alternate transients, shown in dotted lines, are the same as in Fig. 11. The i-band of SN 2020tfc is not shown as the background was not subtracted completely, resulting in a significant flux offset.

Current usage metrics show cumulative count of Article Views (full-text article views including HTML views, PDF and ePub downloads, according to the available data) and Abstracts Views on Vision4Press platform.

Data correspond to usage on the plateform after 2015. The current usage metrics is available 48-96 hours after online publication and is updated daily on week days.

Initial download of the metrics may take a while.