Open Access

Fig. D.2.

image

Download original image

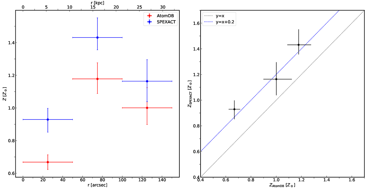
Core metallicity obtained using two atomic databases. Left: Metallicity profiles using AtomDB version 3.0.9 (red) and SPEXACT version 3.05.00 (blue). Right: Comparison plot of the metallicities using the two atomic databases. The gray dotted line is the 1:1 line, while the blue is shifted by 0.2.

Current usage metrics show cumulative count of Article Views (full-text article views including HTML views, PDF and ePub downloads, according to the available data) and Abstracts Views on Vision4Press platform.

Data correspond to usage on the plateform after 2015. The current usage metrics is available 48-96 hours after online publication and is updated daily on week days.

Initial download of the metrics may take a while.