Open Access

Fig. 2

image

Download original image

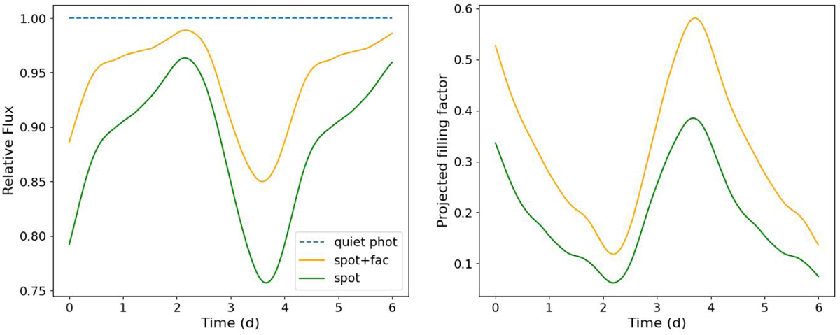
Photometric time series computed by the model. Left panel: photometric time series obtained with parameters listed in Table 1 and considering black-body emission, in the case considering both spots and faculae (orange) or only spots (green) and in the case of an immaculate photosphere (dashed blue). Right panel: projected filling factors as function of time for the two activity scenarios considered, and colour-coded as in the left panel.

Current usage metrics show cumulative count of Article Views (full-text article views including HTML views, PDF and ePub downloads, according to the available data) and Abstracts Views on Vision4Press platform.

Data correspond to usage on the plateform after 2015. The current usage metrics is available 48-96 hours after online publication and is updated daily on week days.

Initial download of the metrics may take a while.