ZTF SN Ia DR2
Open Access

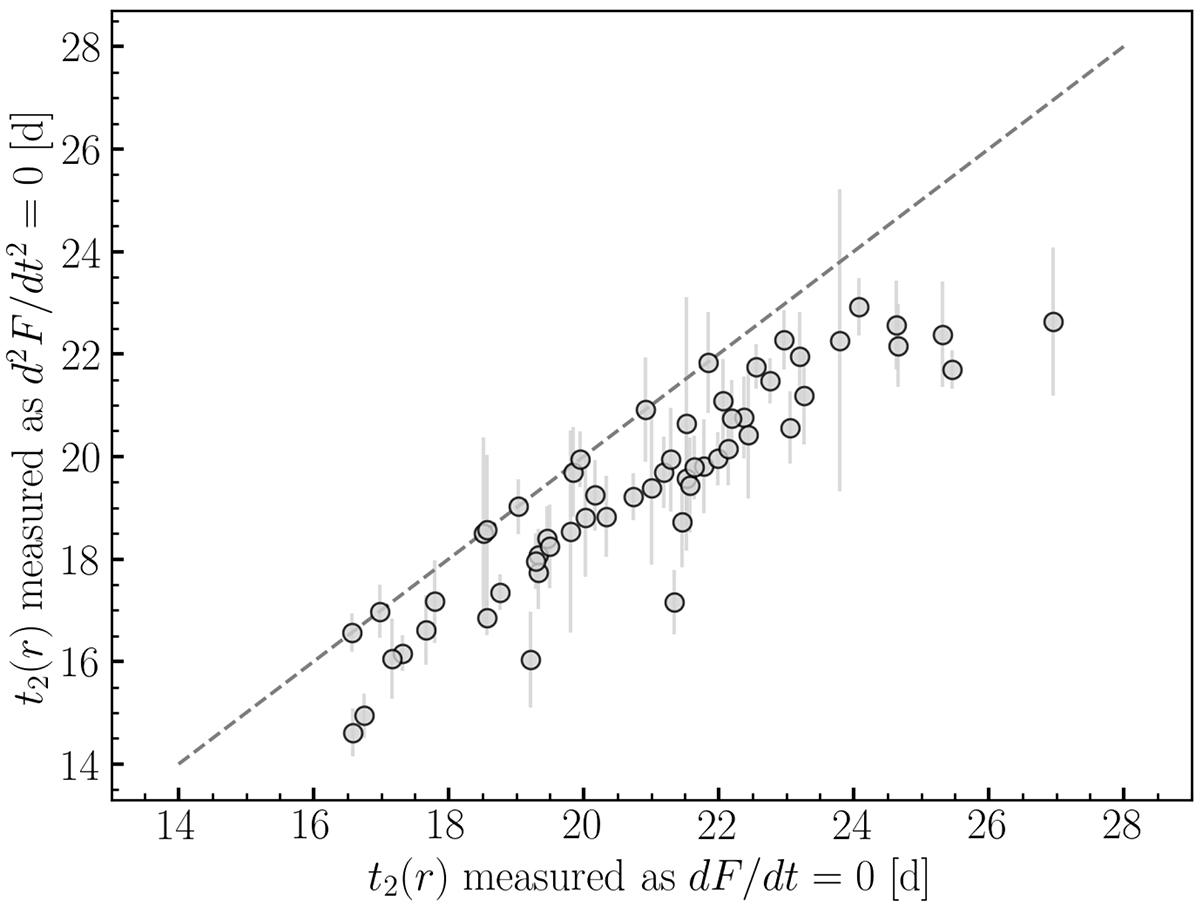
Fig. 3.

image

Download original image

Distribution of t2(r) for the 63 SNe Ia with a detected true bump (i.e. dF/dt  =  0 exists), measured either as the local maximum (dF/dt  =  0, x-axis) or the inflection point (d2F/dt2  =  0, y-axis). We systematically find a lower t2(r) if measured as the point of inflection versus the local maximum in the light curve.

Current usage metrics show cumulative count of Article Views (full-text article views including HTML views, PDF and ePub downloads, according to the available data) and Abstracts Views on Vision4Press platform.

Data correspond to usage on the plateform after 2015. The current usage metrics is available 48-96 hours after online publication and is updated daily on week days.

Initial download of the metrics may take a while.