Open Access

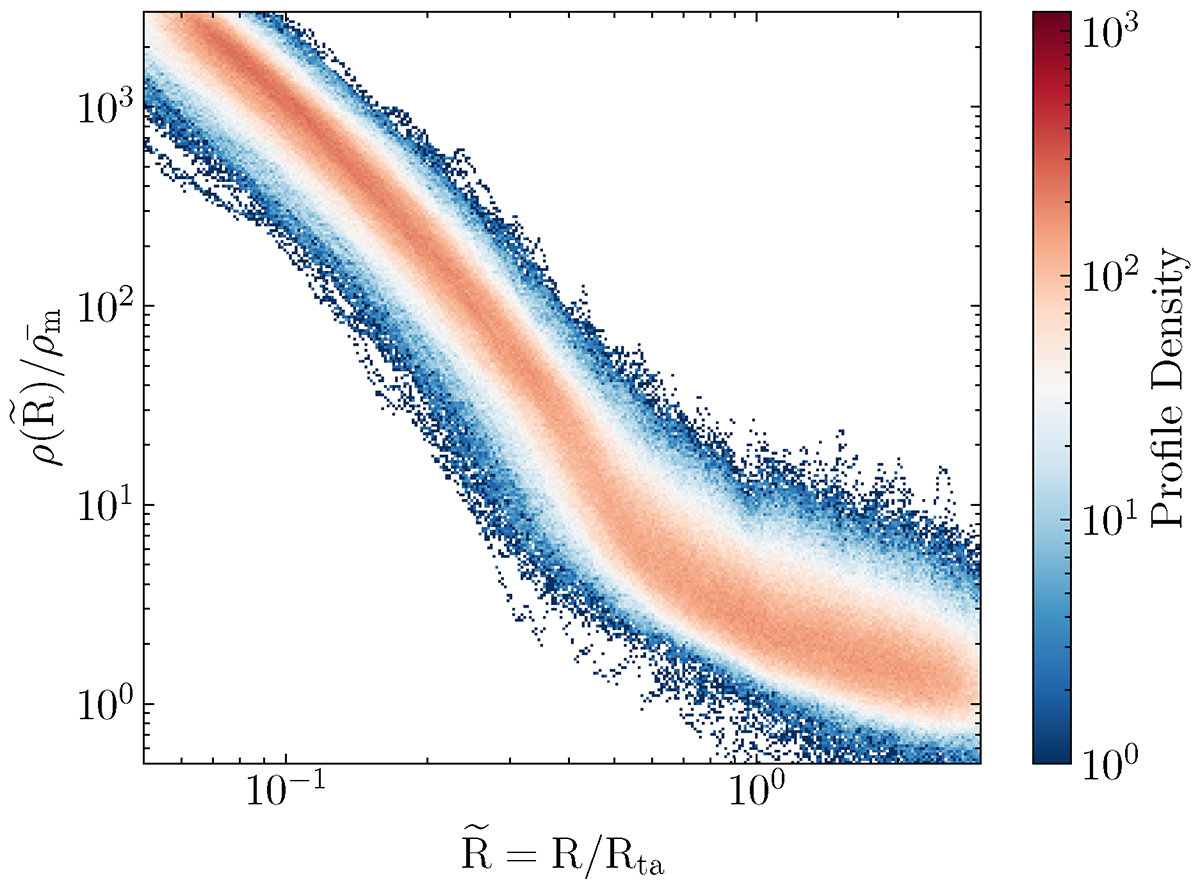
Fig. 1.

image

Download original image

Dark matter density (in units of the background-Universe average matter density) plotted against the normalized radius of concentric spherical shells around MDPL2, z = 0 halos. The color scale indicates the number of lines per pixel on the plot. The radii of the shells have been normalised with respect to the kinetically defined turnaround radius.

Current usage metrics show cumulative count of Article Views (full-text article views including HTML views, PDF and ePub downloads, according to the available data) and Abstracts Views on Vision4Press platform.

Data correspond to usage on the plateform after 2015. The current usage metrics is available 48-96 hours after online publication and is updated daily on week days.

Initial download of the metrics may take a while.