Open Access

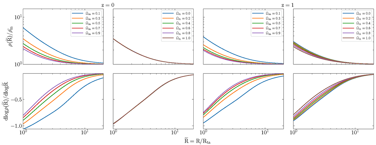
Fig. 3.

image

Download original image

Dependence of the analytical profile and its logarithmic slope on the cosmological parameters. Upper panels illustrate matter density across shells, normalized by the turnaround radius, at redshifts indicated by the titles. With different line colors we show how the profiles change for different values of Ωm (assuming ΩΛ = 0.7) and ΩΛ (assuming Ωm = 0.3). Bottom panels explore the change in the logarithmic slope of the respective density profiles.

Current usage metrics show cumulative count of Article Views (full-text article views including HTML views, PDF and ePub downloads, according to the available data) and Abstracts Views on Vision4Press platform.

Data correspond to usage on the plateform after 2015. The current usage metrics is available 48-96 hours after online publication and is updated daily on week days.

Initial download of the metrics may take a while.