Open Access

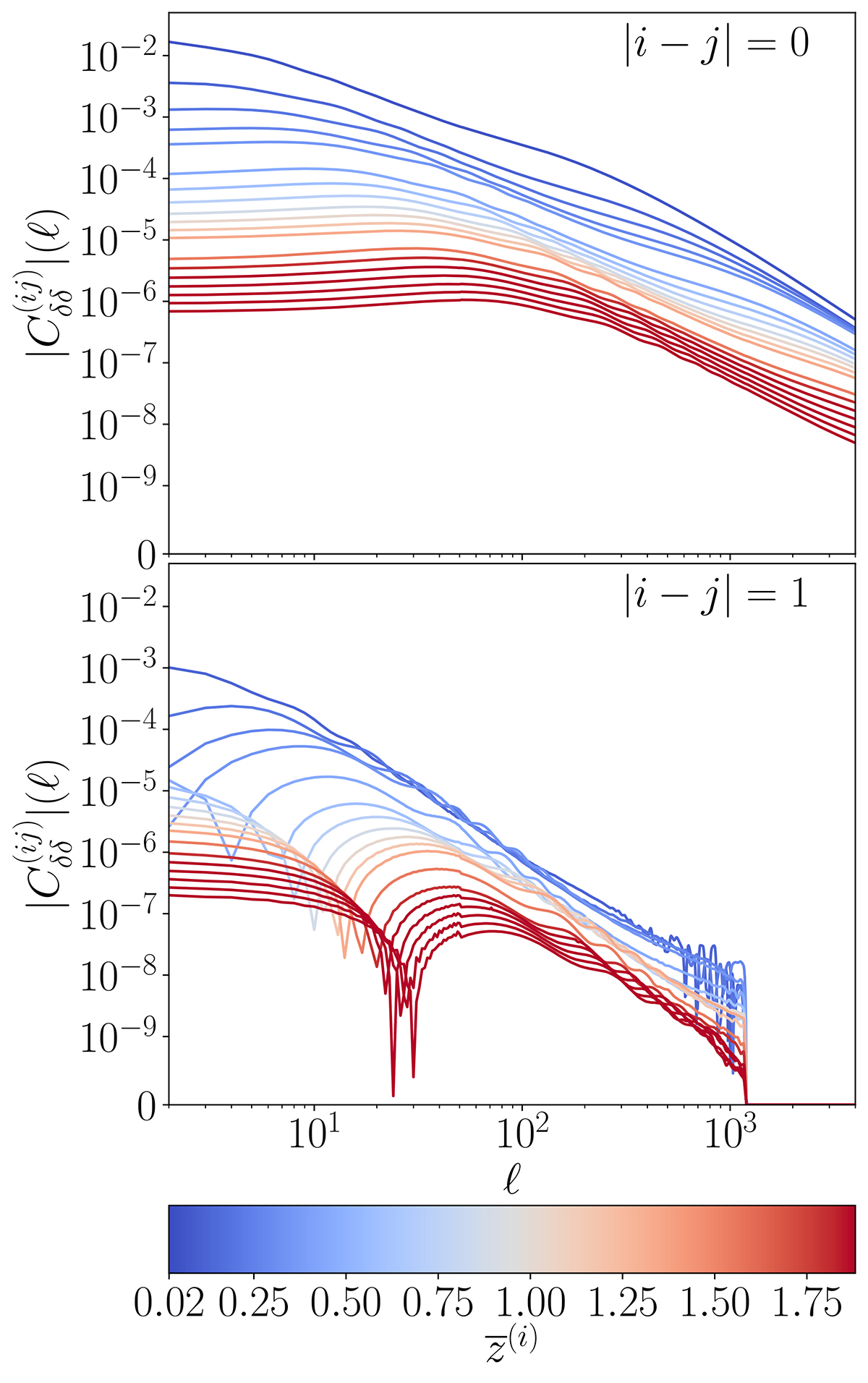
Fig. 4.

image

Download original image

2D angular matter power spectra, C δ δ ( i j ) ( ) $ C_{\delta \delta}^{(i j)}(\ell) $, projected with Levin describing the correlations between the large-scale structure within a set of 19 concentric shells spaced along the line of sight as shown in Fig. 2. The top panel shows the autocorrelations of all shells, i.e. |i − j| = 0. The bottom panel shows the correlations of each shell with its nearest neighbour, i.e. |i − j| = 1 (|i − j|> 1 are not shown as they do not have a large effect on matter fields within each shell, see Tessore et al. 2023). The colour of each line is given by the mean redshift of the ith bin, z ¯ ( i ) $ \overline{z}^{(i)} $. The underlying linear 3D matter power spectrum is based on flat ΛCDM assuming Ωc = 0.05, Ωb = 0.28, σ8 = 0.79, S8 = 0.84 and H0 = 67 km s−1 Mpc−1 calculated using CAMB (Lewis et al. 2000; Lewis & Challinor 2002; Howlett et al. 2012), while the non-linear contribution is calculated using HMcode-2016 (Mead et al. 2015, 2016) assuming Abary = 3.1. The non-Limber projection done by Levin assumes max, nL = 1200 which causes the C δ δ ( i j ) $ C_{\delta \delta}^{(ij)} $ with |i − j|> 0 go to a value of zero for  > max, nL.

Current usage metrics show cumulative count of Article Views (full-text article views including HTML views, PDF and ePub downloads, according to the available data) and Abstracts Views on Vision4Press platform.

Data correspond to usage on the plateform after 2015. The current usage metrics is available 48-96 hours after online publication and is updated daily on week days.

Initial download of the metrics may take a while.