Open Access

Fig. 9.

image

Download original image

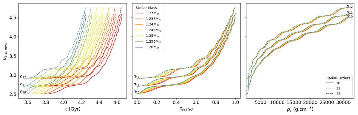
Evolution of the normalised frequencies of non-radial  = 1 modes with radial orders n = [10, 11, 12] for evolutionary tracks of the stellar grid with masses between 1.23 and 1.26 M as a function of the various age proxies considered for interpolation: τ (left), τscaled (middle), and ρc (right). Different colours are used to represent different stellar masses and different line styles show different radial orders, according to the insets in the middle and right panel, respectively.

Current usage metrics show cumulative count of Article Views (full-text article views including HTML views, PDF and ePub downloads, according to the available data) and Abstracts Views on Vision4Press platform.

Data correspond to usage on the plateform after 2015. The current usage metrics is available 48-96 hours after online publication and is updated daily on week days.

Initial download of the metrics may take a while.