Open Access

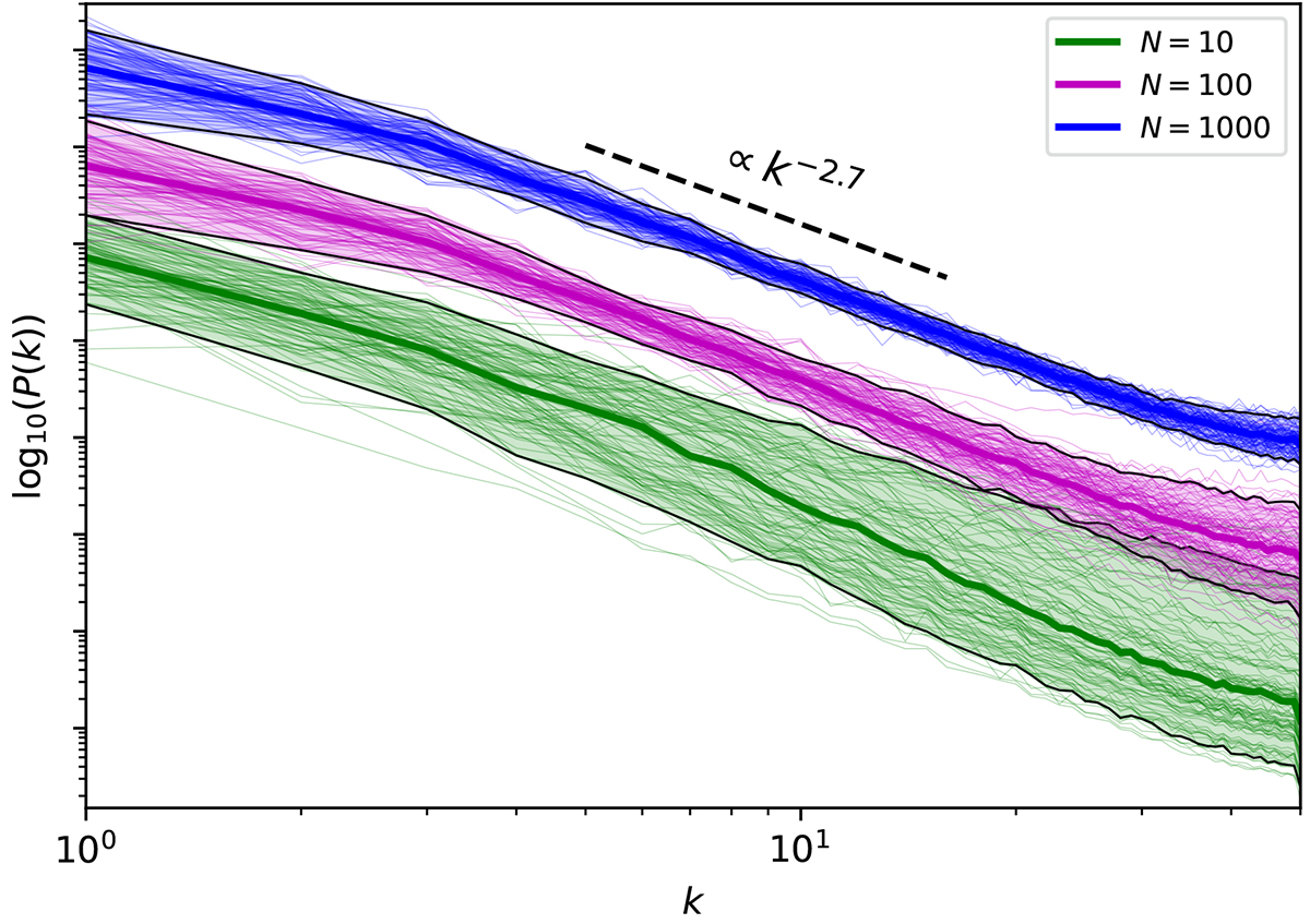
Fig. 4.

image

Download original image

Realisations of the power spectrum of CMB temperature fluctuations caused by the GWM of 10, 100, and 1000 mergers within a local (30 Mpc)3 box (pale lines). We find that the power spectra follow a universal scaling, ∝k−2.7, where k are the modes of the image (here in units of image resolution). The mean (thick lines) and the 2σ contours (shaded areas) are also displayed.

Current usage metrics show cumulative count of Article Views (full-text article views including HTML views, PDF and ePub downloads, according to the available data) and Abstracts Views on Vision4Press platform.

Data correspond to usage on the plateform after 2015. The current usage metrics is available 48-96 hours after online publication and is updated daily on week days.

Initial download of the metrics may take a while.